1-винил-2-пирролидон

1-ВИНИЛ-2-ПИРРОЛИДОН (N-винил1073-2.jpgпирролидон; N-винилбутиролактам), мол. м. 115,15; бесцв. жидкость; т. кип. 65-66 °С/1,5 мм рт.ст., 71-72 °С/2,5 мм рт.ст. (при стабилизации КОН можно перегонять при атм. давлении при 214-215°С); d420 1,0458, nD201,5132; раств. в воде и органических растворителях.
1073-3.jpg

На воздухе 1-винил-2-пирролидон окисляется. При нагр. в водных р-рах щелочей лактамный цикл 1-винил-2-пирролидона раскрывается с образованием соли1073-4.jpgвиниламиномасляной к-ты. При кипячении в воде и нагревании в разб. сильных к-тах распадается на пирролидон и ацетальдегид (качеств. р-ция обнаружения 1-винил-2-пирролидона). Под действием сильных к-т превращ. в кристаллич. димер 1-винил-2-пирролидона. При взаимод. с P2S5 получается N-винилтиопирролидон. По двойной связи С=С в присут. 2,2'-азо-бис-изобутиронитрила присоединяет H2S и тиолы, в присут. следов соляной к-ты - спирты. Полимеризуется при нагр. выше 140°С и при длит. воздействии света; ингибиторы полимеризации - щелочи. Быстрая полимеризация происходит при нагр. с пероксидами или под действием эфирата BF3. При низких т-рах полимеризация катализируется алифатич. диазосоединениями. 1-Винил-2-пирролидон сополимеризуется с виниловыми эфирами, стиролом, винилхлоридом, винилфталимидом и др.

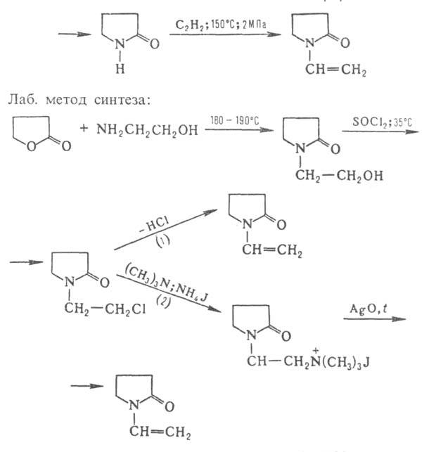
В промышленности 1-винил-2-пирролидон получают из ацетилена и формальдегида с выходом 60% в расчете на ацетилен по схеме:
1073-5.jpg

1073-6.jpg

Выход 1-винил-2-пирролидона для р-ции (1) 55% для р-ции (2) 80%. 1-Аинил-2-пирролидон используют гл. обр. в произ-ве поливинилпирролидона. Продукты присоединения к 1-винил-2-пирролидону фенолов и карбоновых к-т - смачиватели в текстильной пром-сти.

Литература

Вацулик П., Химия мономеров, пер. с чеш., т. 1, М., 1960; Колесников Г. С., Синтез винильных производных ароматических и гетероциклических соединений, М., 1960; Сидельковская Ф. П., Химия N-винилпирролидона и его полимеров, М., 1970. И. И. Бруновленская.

Синонимы/примеры:* N-винилпирролидон; N-винил-2-пирролидон; 1-этенилпирролидин-2-он
*подобраны ИИ, возможны неточности