Виниловый спирт

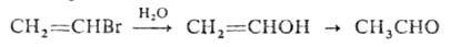
ВИНИЛОВЫЙ СПИРТ СН2—СНОН, мол. м. 44,05. Простейший енол, в своб. виде не выделен. При попытке его получения, напр. нагреванием винилбромида с водой, образуется изомерный ацетальдегид:
1072-37.jpg

Такое превращ. связано с выигрышем энергии 54,47 кДж/моль. Виниловые эфиры CH2=CHOR (R-алкил, арил, ацил) и поливиниловый спирт устойчивы. Алкоголяты (Li, Na и др.) получены действием металлов в жидком NH3 на ртутные производные альдегидов и кетонов, напр.:

1072-38.jpg

Комментарии*

Дополнения к описанию винилового спирта:

  • Таутомерия: Виниловый спирт является енольной формой ацетальдегида в процессе кето-енольной таутомерии
  • Стабильные производные: Поливиниловый спирт получают не из мономера, а путем щелочного гидролиза поливинилацетата
  • Практическое значение: Поливиниловый спирт широко применяется как эмульгатор, загуститель, в производстве клеев, текстильных волокон и в медицинских препаратах
  • Методы стабилизации: Стабильные комплексы винилового спирта могут быть получены в матричной изоляции при низких температурах
  • Структурные особенности: В виниловом спирте гидроксильная группа соединена непосредственно с sp²-гибридизованным атомом углерода
*Подобраны с помощью LLM, верифицированы, но возможны неточности.
Синонимы/примеры:* Этенол; этиленовый спирт
*подобраны ИИ, возможны неточности