Вагнера-Меервейна перегруппировки

ВАГНЕРА-МЕЕРВЕЙНА ПЕРЕГРУППИРОВКИ, общее назв. р-ций, протекающих с 1,2-миграцией группы R(H, алкил или алициклич. фрагмент, арил, ацил, алкоксикарбонил и др.) к карбкатионному центру, возникающему в молекуле при нуклеоф. замещении, присоединении к кратной связи или элиминировании:
1066-53.jpg

где Х-уходящая группа, напр. ОН, Nj, Hal, Y~ -внеш. нуклеофил, Е+ - электроф. агент, напр. Н + , AlkCO + .

Вагнера - Меервейна перегруппировки относят к секстетным перегруппировкам и подразделяют на пинаколиповые и ретропинаколиновые перегруппировки. Родственной Вагнера - Меервейна перегруппировкам является Демьянова перегруппировка.

Вагнера - Меервейна перегруппировки претерпевают, как правило, углеводороды и их производные, имеющие разветвленный углеродный скелет. В ряду алициклич. соед. часто сопровождается расширением или сужением цикла. С Вагнера - Меервейна перегруппировками конкурируют др. р-ции карбкатионов-фрагментация, депротонирование, присоединение нуклеофила. Протеканию Вагнера - Меервейна перегруппировок способствуют увеличение диэлектрич. проницаемости р-рителя и уменьшение его основности, а также прочное связывание уходящего аниона, напр. в виде комплексных анионов А1С14-, SbClg.

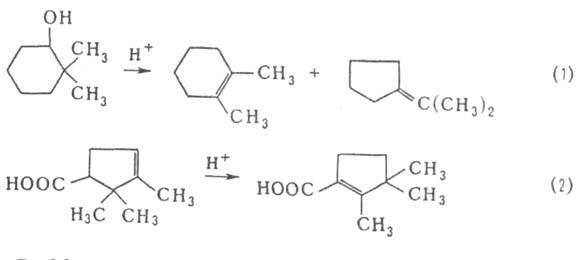
Примеры Вагнера - Меервейна перегруппировок: камфеновые перегруппировки I рода; изомеризация, сопровождающая дегидратацию спиртов, напр. ур-ние 1; превращение1066-54.jpgкамфолитовой к-ты в изо-лаунолевую (2).
1066-55.jpg

Вагнера - Меервейна перегруппировки используют в пром-сти, напр. при получении камфоры из1066-56.jpgпинена, изоборнилацетата из камфена, а также терпенофенолов - промежут. продуктов в синтезе кедрола, санталидола и нек-рых др. душистых в-в.

Вагнера - Меервейна перегруппировки открыты Е.Е. Вагнером в 1899 при исследовании превращ. бициклич. терпенов, подробно изучены X. Меервейном в 1910-1927.

Литература

Ингольд К., Теоретические основы органической химии, пер. с англ., М., 1973, с. 600-48. Н.Э. Нифантьев.