Антидепрессанты

АНТИДЕПРЕССАНТЫ, препараты, улучшающие настроение и общее психич. состояние у больных, страдающих разными формами депрессий. Механизм действия окончательно не выяснен. Полагают, что в патогенезе депрессий важную роль играет уменьшение содержания в центр. нервной системе нейромедиаторов, особенно норадреналина и серотонина, и что применение антидепрессантов приводит к увеличению содержания этих в-в в определенных отделах мозга. Действие антидепрессантов может быть связано с уменьшением ферментативного распада содержащегося в мозге норадреналина и серотонина или (и) с торможением их обратного захвата нервными окончаниями, что приводит к повышению их концентрации в синаптич. щели и усилению их действия на постсинаптич. рецепторы. Активация адренергич. процессов мозга под влиянием накапливающегося норадреналина приводит, по-видимому, к уменьшению психич. и двигат. заторможенности, а усиление серотонинергич. процессов - к улучшению настроения (тимолептич. действие), уменьшению тревоги и напряженности. Полагают также, что действие антидепрессантов связано с развивающимся под их влиянием адаптац. изменением в кругообороте нейромедиаторов и чувствительности к ним рецепторов мозга.

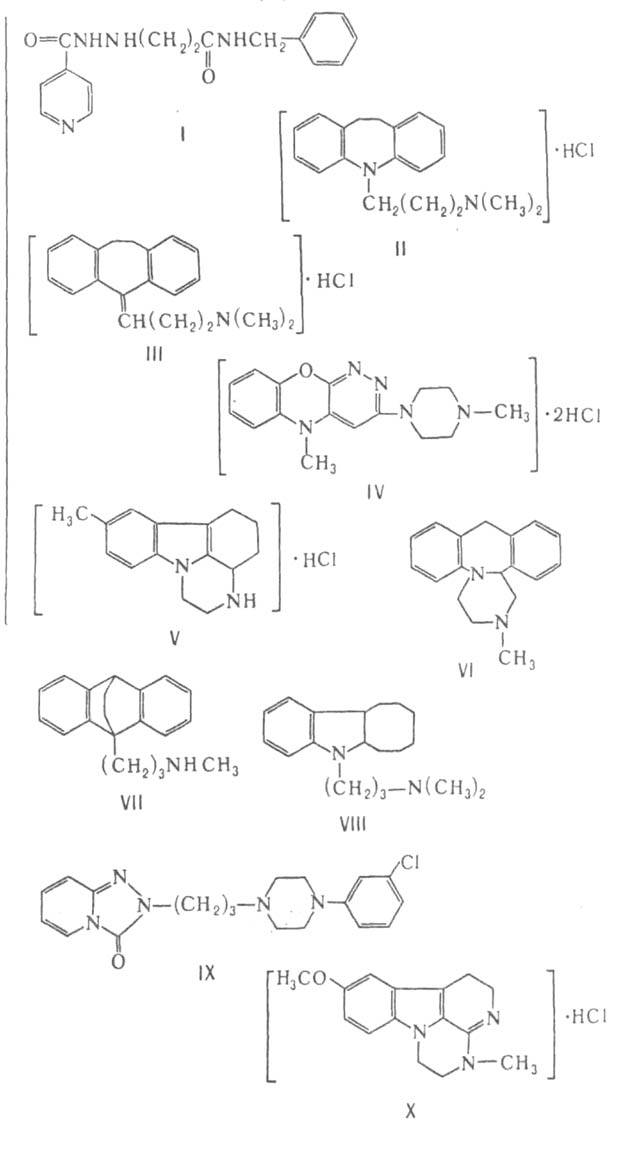
Антидепрессанты делят на препараты, ингибирующие моноаминоксидазу и тем самым тормозящие дезаминирование (инактивацию) норадреналина и серотонина, и препараты, к-рые блокируют обратный нейрональный захват этих медиаторов (т. наз. трициклич. антидепрессанты). Осн. препараты первой группы - производные гидразина, из к-рых практич. применение имеет ниаламид (ф-ла I), второй группы -имизин (II), амитриптилин (III), а также азафен (IV). Получены также лек. ср-ва, отличающиеся по структуре и механизму действия от рассмотренных ("типичных") антидепрессантов. К числу таких "атипичных" антидепрессантов относятся пиразидол (V), миансерин (VI), людиомил (VII), иприндол (VIII), тразодон (IX), инказан (X) и др. Предполагают, что они влияют на чувствительность постсинаптич. рецепторов к действию нейромедиаторов. Большинство антидепрессантов второй группы метаболизируются в организме с образованием деметилированных соед.: N-оксидов и глюкуронидов.
1033-6.jpg

Литература

Авруцкий Г.Я., НедуваА.А., Лечение психически больных, М., 1981; Машковский М. Д., Анд реева Н. И., П олежаева А. И., Фармакология антидепрессантов, М., 1983; Машковский М. Д., Лекарственные средства, 9 изд., т. 2, М., 1984, с. 90-103. М. Д. Машковский,