Противопаркинсонические средства
ПРОТИВОПАРКИНСОНИЧЕСКИЕ СРЕДСТВА, лек. в-ва, применяемые для лечения болезни Паркинсона (дрожательного паралича), характеризующейся повышением тонуса поперечно-полосатых мышц, ограничением движений и стереотипным дрожанием (тремором). Заболевание связано с нарушением равновесия между до-фаминергич. и холинергич. системами головного мозга, ответственными за осуществление двигательных р-ций. При этом наблюдается функцион. или орга-нич. недостаточность дофаминергич. механизмов, связанная гл. обр. с уменьшением образования дофамина и одновременным повышением холинергич. активности в головном мозге.







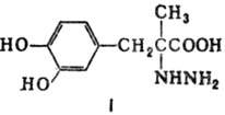
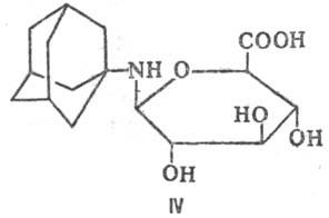
В качестве противопаркинсонических средств используют т. наз. дофаминомиметич. в-ва, к-рые возмещают недостаток дофамина в мозге или усиливают активность дофаминергич. систем. В эту группу входит леводопа, к-рая, в отличие от дофамина, хорошо проникает через гематоэнцефалич. барьер в головной мозг, где подвергается декарбоксилированию, превращается в дофамин и стимулирует центр. дофаминовые рецепторы. С целью усиления действия леводопу применяют в сочетании с ингибиторами периферич. (экстрацеребрального) декар-боксилирования - карбидопой [3-(3,4-дигидроксифенил)-2-гидразино-2-метилпропионовая к-та, ф-ла I] и бенсерази-дом [N1-(b)-серил-N2-(2,3,4-тригидроксибензил)гидразин, серазид, II]. Так, препараты наком и синемет содержат леводопу и карбидопу, мадапар-леводопу и бенсеразид. К дофаминомиметич. в-вам относят также производные адамантана-мидантан (гидрохлорид 1-аминоадамантана, III) и глудантан (глюкуронид 1-аминоадамантана, IV). Они стимулируют высвобождение дофамина и повышают чувствительность к нему дофаминергич. рецепторов. Благодаря наличию глюкуронидного заместителя глудантан легче, чем мидантан, проникает через гематоэнцефалич. барьер.









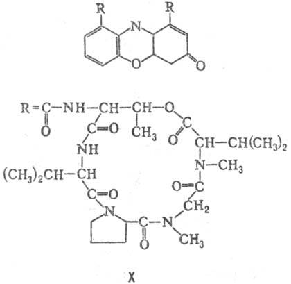
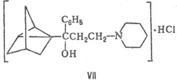
Др. группа противопаркинсонических средств включает ряд холинолитических средств -амедин (гидрохлорид N,N-диметиламиноэтилового эфира фенилциклогексилгликолевой к-ты, V), динезин [гидрохлорид 10-(N,N-диэтиламиноэтил)фенотиазина, VI], норакин (гидрохлорид 1-[трицикло(2.2.1.02,6)гепт-2-ил]-1-фенил-3-пиперидино-1-пропанола, VII), тропацин (гидрохлорид тропинового эфира дифенилуксусной к-ты, VIII), циклодол (гидрохлорид 1-фенил-1-циклогексил-3-пиперидино-1-про-панола, IX), этпенал (гидрохлорид N,N-диэтиламино-пропилового эфира a-этоксидифенилуксусной к-ты, X) и др. Эти препараты уменьшают холинергич. активность в подкорковых синапсах головного мозга, ингибируют обратный захват дофамина пресинаптич. нервными окончаниями.
Лит.: Машковский М. Д., Лекарственные средства, 11 изд., ч. 1, М., 1988.