Мономолекулярный слой
МОНОМОЛЕКУЛЯРНЫЙ СЛОЙ (монослой), слой в-ва толщиной в одну молекулу на пов-сти раздела фаз. Возникает при адсорбции, поверхностной диффузии, в результате испарения р-рителя из р-ра, содержащего нелетучий компонент. На твердых пов-стях мономолекулярный слой обычно образуется вследствие адсорбции ПАВ из разбавл. р-ров или газов при относительно низких давлениях. С ростом концентрации (или давления пара) адсорбируемого в-ва мономолекулярный слой может переходить в полимолекулярный поверхностный слой.
Емкостью мономолекулярного слоя пт наз. предельное заполнение молекулами адсорбир. в-ва пов-сти адсорбента. Если известна средняя площадь sm, занимаемая в насыщенном мономолекулярном слое адсорбир. молекулой, то уд. пов-сть адсорбента А = nmsmNA, где пт выражена в молях на единицу массы адсорбента, NA-постоянная Авогадро. При эксперим. определении уд. пов-сти высокодисперсных порошков или высокопористых тел в качестве адсорбируемого в-ва обычно используют N2 или Аr, для к-рых sm равна 0,162 и 0,166 нм2 соотв. и слабо зависит от природы адсорбента.
На пов-сти жидкости мономолекулярные слои нерастворимых и слаборастворимых ПАВ могут находиться в разл. "агрегатных" состояниях. Если расстояние, разделяющее молекулы в мономолекулярном слое, велико по сравнению с их размерами и молекулы почти не взаимод., слой наз. газообразным (G-пленка). Мономолекулярный слой с предельно плотной упаковкой молекул наз. конденсированным; его уподобляют двухмерной жидкости (L-пленка) или двухмерному твердому телу (S-пленка). В газообразном мономолекулярном слое на границе водная среда-газ гидрофобные группы дифильных молекул ПАВ располагаются вдоль пов-сти раздела фаз, в конденсированных мономолекулярных слоях они ориентированы по нормали или под углом к межфазной пов-сти. Макромолекулы в мономолекулярном слое могут находиться в виде клубков, спиралей или иных структурных форм. Молекулы линейных полимеров обычно принимают плоскую конформацию, располагаясь вдоль пов-сти раздела фаз. Однако отдельные участки цепи могут образовывать "петли" и "хвосты", выступающие далеко за пределы поверхностного слоя. Нек-рые макромолекулы, напр. белковые, имеющие в р-ре форму спирали, при выходе из объема фазы в поверхностный слой полностью или частично разворачиваются. Граница (подвижный барьер), отделяющая на пов-сти участок чистой жидкости от участка, покрытого мономолекулярным слоем, испытывает давление, наз. поверхностным или плоским (двухмерным). В общем случае p = s0 — s(Г), где s0 и s(Г)-поверхностное натяжение соотв. чистой жидкости и жидкости, покрытой мономолекулярным слоем, к-рый образовался в результате адсорбции в-ва массой Г, определяемой согласно известному адсорбц. ур-нию Гиббса (обычно Г выражают в молях на единицу площади межфазной пов-сти). В случае нерастворимого ПАВ p м. б. измерено непосредственно с помощью прибора, наз. п л ен о ч н ы м и в е с а м и, или в е с а м и Л е н г м ю р а.
Данные измерений позволяют строить изотермы в координатах p-площадь s, приходящаяся на одну молекулу (или ps-p), по виду к-рых изучают состояние мономолекулярного слоя в зависимости от его насыщения, т-ры Т, хим структуры ПАВ, состава и св-в жидкой фазы. Разреженный мономолекулярный слой характерен для малых значений Г (или p) и достаточно высоких т-р. Насыщенные мономолекулярные слои могут быть жидкорастянутыми (L1 -пленки), жидкоконденсиро-ванными (L2-плeнки) и твердоконденсированными, или твердыми (S-пленки). В нек-рых случаях по наклону линейного участка изотермы в координатах ps-p можно определить значения sm (см. рис.).

Диаграмма состояния мономолекулярного слоя в координатах поверхностное давление p-площадь s, приходящаяся на одну адсорбир. молекулу. С, L2,I, L1 и S-соотв. газообразное, жидкоконденсированное, промежуточное, жидкорастянутое и твердоконденсированное состояния.
Переход от состояния L1 к L2 иногда идет через промежут. состояние I. Возможны условия, при к-рых вообще не реализуются нек-рые из состояний мономолекулярного слоя. Переход L
G при снижении p или G
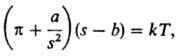
L при возрастании p осуществляется через "гетерог." область, где при p = const в термодинамич. равновесии находятся участки пов-сти, покрытые мономолекулярными слоями в состояниях L и G. Состояние G описывается ур-нием, аналогичным ур-нию Ван-дер-Ваальса:

где а-эмпирич. постоянная, характеризующая силу меж-мол. взаимодействий в мономолекулярном слое, b-эффективная площадь сечения молекулы (обычно принимают b
sm), k-постоянная Больцмана.
В эксперим. исследованиях мономолекулярные слои образуются также при переносе конденсир. пленок нерастворимых ПАВ с пов-сти жидкости на пов-сть пластины из металла, стекла или др. материала при пересечении границы жидкости с газовой (обычно воздушной) средой (м е т о д Л е н г м ю р а-Б л о д-ж е т). В зависимости от направления перемещения пластины возможна "прямая" или "обратная" ориентация молекул ПАВ на твердой подложке и соотв. гидрофобизация или гидрофилизация пластины. Несколько мономолекулярных слоев, нанесенных последовательно, позволяют получать полимолекулярные пленки с высокой степенью упорядоченности.
Структура и св-ва мономолекулярного слоя сильно зависят от строения образующих его молекул, степени ионизации полярных групп, природы контактирующих фаз и др. Мономолекулярные слои, особенно S- и L-пленки, влияют на скорость массопереноса через пов-сть раздела фаз, трение, адгезию. Мономолекулярные слои нек-рых в-в эффективно снижают испарение летучих нефтепродуктов, защищают металлы от коррозии. Состояние мономолекулярного слоя, его электрич. и реологич. св-ва решающим образом сказываются на устойчивости эмульсий и пен. Важную роль играют мономолекулярные слои (липидные, липопротеидные и др.) в клеточных мембранных процессах.
Исп. литература для статьи «МОНОМОЛЕКУЛЯРНЫЙ СЛОЙ»: Адамсон А., Физическая химия поверхностей, пер. с англ., М., 1979; Измайлова В. Н. и др., в кн.: Поверхностные явления и поверхностно-активные вещества, Л., 1984, с. 90-161; Рохленко А. А., там же, с. 162-76; Джейкок М., Парфит Дж., Химия поверхности раздела фаз, пер. с англ., М., 1984; Грег С., Синг К., Адсорбция, удельная поверхность, пористость, пер. с англ., 2 изд.М., 1984. Л. А. Шиц.