2-Амино-2-этил-1,3-пропандиол

2-АМИНО-2-ЭТИЛ-1,3-ПРОПАНДИОЛ (2-амино-2-гидроксиметил-1-бутанол) (HOCH2)2C(NH2)C2H5, мол. м. 119,16; бесцв. кристаллы; т. пл. 37,5-38°С, т. кип. 152-153°С/10 мм рт. ст.; d2020 1,099; nD20 1,490; рКа 8,80 (вода; 25 °С); смешивается с водой, хорошо раств. в спиртах, плохо - в углеводородах.

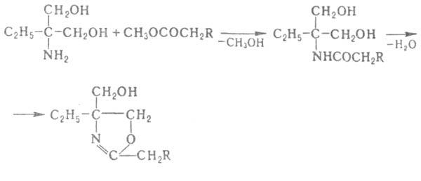
2-Амино-2-этил-1,3-пропандиол обладает всеми хим. св-вами аминоспиртов. Продукты его моноацилирования метиловыми эфирами карбоновых к-т дегидратируются в гидроксиметилоксазолины, применяемые как эмульгаторы:
1027-23.jpg

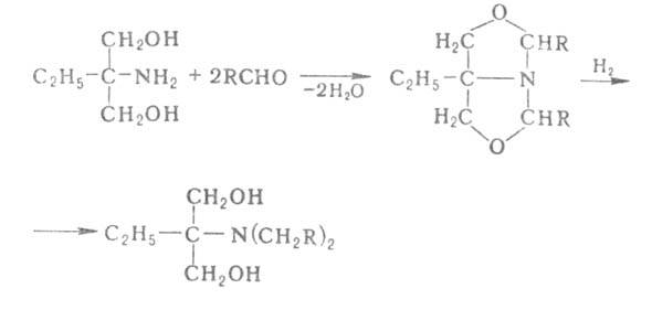
С альдегидами 2-амино-2-этил-1,3-пропандиол легко образует бициклич. оксазолидины, к-рые м. б. восстановлены в N,N-дизамещенные аминоспирты:
1027-24.jpg

Бициклич. оксазолидины - сшивающие агенты для фенольных смол и др. Получают 2-амино-2-этил-1,3-пропандиол восстановлением 2-нитро-2-этил-1,3-пропандиола в р-ре метанола над никелем Ренея при 50°С и 7 МПа. 2-Амино-2-этил-1,3-пропандиол-модификатор полиэфирных смол. Благодаря легкой р-ции с формальдегидом он уничтожает запах непрореагировавшего формальдегида, характерный для фено-ло-, меламино- и мочевино-формальд. смол. 2-Амино-2-этил-1,3-пропандиол слабо раздражает кожу, опасен для глаз.

Литература

Kirk-Othmer encyclopedia, 3 ed, v. 1, N. Y.-[a.o.], 1978, p. 961 67. Д. 3. Завельский.

Комментарии*

Дополнения к описанию 2-Амино-2-этил-1,3-пропандиола:

  • Более точное определение: Это органическое соединение относится к классу аминоспиртов, содержащему два первичных гидроксила и один первичный аминогруппы у одного центрального атома углерода.
  • Ключевые свойства: Основность соединения (pKa 8.80) делает его полезным в качестве буферного агента в биохимии и косметических средствах.
  • Практическое применение:
    • Широко используется в качестве эмульгатора и стабилизатора в косметической и фармацевтической промышленности.
    • Применяется в качестве поглотителя кислых газов, таких как сероводород и диоксид углерода, в процессах газоочистки.
    • Является промежуточным продуктом в органическом синтезе для получения поверхностно-активных веществ, лекарственных средств и других химикатов.
*Подобраны с помощью LLM, верифицированы, но возможны неточности.
Синонимы/примеры:* 2-Амино-2-этилпропан-1,3-диол
*подобраны ИИ, возможны неточности
Ещё по теме
1,1,3-трициано-2-амино-1-пропен — свойства и влияние на организм
Этил-4-аминобензоат — характеристики и применение
Синтез 2-амино-5,5-диметил-4,5-дигидро-7H-пирано[3,4-d]тиазола
Описание химического соединения — 3-[(4-амино-2-метил-5-пиримидил)метил]-4-метил-5-[2-(фосфоно окси)этил]тиазолинхлорид
4-метил-3-пентен-2-он — свойства и применение
2-(Диметиламино-N)этил-4-аминобензоат — описание и характеристики
1-фенил-2-((1,1-дифенилпропил-3)амино)пропан — характеристики и источники информации
4-аминобензойной кислоты этиловый эфир — характеристики и применение
Синтез 2-амино-5,5-диметил-4,5-дигидро-7Н-пирано/3,4-d/тиазола
4-Амино-2.2.6.6-тетраметил пиперидин — свойства и применение
6-метил-1,2,3,4-тетрагидропиримидинон-4-тион-2 — свойства и применение
2-Метил-1.3-пропандиол — основные характеристики
Изобутиловый спирт — характеристики и применение
Химическое соединение 3П-24 — свойства и характеристики
Эфиры нитрофенолов — свойства и применение
2-Амино-5-этил-1.3.4-тиадиазол — свойства и применение
4-аминофенол — характеристики и применение