Коха-Хаафа реакция
КОХА-ХААФА РЕАКЦИЯ, синтез третичных карбоновых к-т действием на карбениевые ионы монооксида углерода, получаемого "in situ" из муравьиной к-ты в конц. H2SO4:
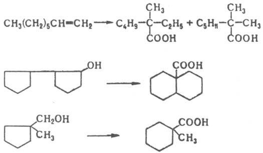
Карбениевые ионы образуются в условиях р-ции из олефинов, спиртов, алкилгалогенидов, эфиров, а также углеводородов, содержащих Н у третичного атома углерода. Р-ция протекает через образование промежут. оксокарбениевого иона (ф-ла I). В случае олефинов Коха - Хаафа реакцию проводят обычно при 0-40°С, постепенно добавляя олефин к смеси НСООН и конц. H2SO4; реакц. смесь выливают на лед и отделяют к-ту. Выходы к-т определяются устойчивостью карбениевого иона и достигают 95%, напр.:
Р-ция, как правило, сопровождается перестройкой углеродного скелета, приводящей к образованию третичных к-т, напр.:
Искусственные приемы, позволяющие увеличить концентрацию СО (малая скорость перемешивания, добавление ССl4), приводят к образованию к-т с вторичными радикалами. Коха - Хаафа реакция имеет препаративное значение и особенно широко используется в ряду адамантана. Р-ция предложена Г. Кохом и В. Хаафом для олефинов в 1958.
Литература
Фальбе Ю., Синтезы на основе окиси углерода, М,, 1971, с. 127-51; HoubcnWcyl, Methodcn der Organischen Chcmic, 4 Aufl, Bd 5, Tl Ib, Stuttg, 1972, S. 1038; Peters J.A., Bekkum H. van, "Rec. Trav. Chim.", 1973, t. 92, № 3, p. 379 92. К. В. Вацуро.
KPAMA ПРАВИЛО, см. Асимметрический синтез.
Ещё по теме
Хека реакция — особенности и применение
Шимана реакция — особенности и применение
Кольбе — Шмитта реакция — основы и применение
Фишера реакция — ключевые аспекты и примеры
Патерно-Бюхи реакция — механизм и применение
Методы получения эфиров 3-оксокарбоновых кислот
Xophepa реакция — особенности и применение
Производные фуроксана — свойства и применение
Кнорра реакции — методы синтеза азотсодержащих гетероциклических соединений
Ульмана реакция — особенности и применение
Пааля-Кнорра реакция — особенности и применение