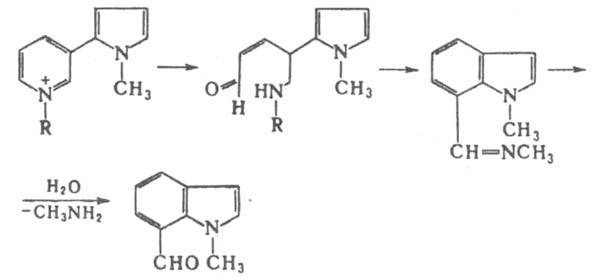
Коста-Сагитуллина перегруппировка

КОСТА - САГИТУЛЛИНА ПЕРЕГРУППИРОВКА, рециклизация под действием оснований пиридинов и пиримидинов (в т.ч. конденсир. соед., включающих их ядра), содержащих в а-положении к гетероатому группировку с подвижным атомом водорода. Происходит с раскрытием гетероцикла по связи С—N и послед. замыканием цикла с образованием связи С—С и нового ароматич. или гетеро-ароматич. кольца. В результате перегруппировки атом N исходного гетероароматич. кольца выходит из цикла, напр.:
481_500-1.jpg
Перегруппировка протекает легче при наличии в цикле четвертичного атома N и сильных электроноакцепторных заместителей, напр. NO2. Перегруппировка реакционно-способных соед. может осуществляться при комнатной т-ре. В др. случаях процесс проводят кипячением гетероциклич. соед. в водном или водно-спиртовом р-ре щелочи или алкиламина либо в той же среде нагреванием в запаянной ампуле при 100-150°С. Малореакционноспособные четвертичные соли N - алкилпиридиния перегруппировываются при нагр. в запаянной ампуле при 150-200 оС в среде водного р-ра алкиламина в присут. его сульфита или сульфита Na. Выход до 80%.
481_500-2.jpg
Механизм перегруппировки зависит от структуры гетероцикла. наиб. вероятно промежут. образование ангидрооснования I в случае соли изохинолиния (р-ция 1), s - комплекса II в случае нитроиндолизина (2) и 1,4-дигидропиридина III при действии сульфита алкиламина на соли пиридиния (3). Эти промежут. соед. раскрывают цикл, а затем вновь замыкают его на электроноизбыточный фрагмент, находящийся в молекуле или образующийся в ходе р-ции. Характерные побочные продукты (они идентифицированы гл. обр. для производных пиридина)-пиридиновые основания, фенолы, ароматич. амины. Модификации Коста - Сагитуллина перегруппировки - рециклизация пиридиниевых солей на более удаленный нуклеофильный центр. непосредственно не связанный с пиридиновым кольцом; напр.:
481_500-3.jpg
Коста - Сагитуллина перегруппировку применяют для препаративного синтеза N-алкиланилинов из пиридинов, a-аминопиридинов из пиримидинов, a- и b-нафтиламинов из изохинолинов, индолов из индолизинов, карбазолов из b-карболинов. Перегруппировка открыта А. Н. Костом, Р. С. Сагитуллиным и С. П. Громовым в 1975. Лит. Сагитуллин Р. С., Кост А. Н., "Ж. орган. химии", 1980, т. 16, в. 3, с. 658 69- Kost A.N., Gromov S.P., Sagitullin R. S., "Tetrahedron", 1981, v. 37, № 20, p. 3423-54. P. С. Сагитуллин.