Optoha перегруппировка
OPTOHA ПЕРЕГРУППИРОВКА, превращение N-галоген-ациланилидов в смесь о- и n-галогенациланилидов под действием к-т, напр.:

Обычно для осуществления перегруппировки используют N-галогенацетиланилиды, а в качестве р-рителя используют воду или уксусную к-ту (разб. либо ледяную). В образующейся смеси продуктов преобладает пара-изомер.
Ортона перегруппировка происходит также в апротонных р-рителях (напр., в хлорбензоле) при каталитич. действии карбоновых к-т или фенолов. Миграция галогена, также как при Ортона перегруппировке, осуществляется при УФ облучении (т. наз. фотоперегруппировка Ортона) и при нагр. с бензоилпероксидом (в этих случаях происходит гомолиз связи N—Hal).
Механизм Ортона перегруппировки включает стадию протонирования исходного анилида (образуется аммониевый ион I) с послед, образованием мол. галогена, к-рый галогенирует ароматич. кольцо с образованием смеси орто- и пара-изомеров:

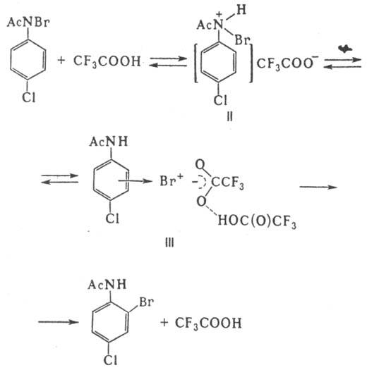
В апротонных средах Ортона перегруппировка протекает внутримолекуляр-но через стадии протонирования субстрата, гетеролитич, расщепления связи N—Hal и перегруппировки образующейся ионной пары (II) в p-комплекс III и распада последнего:

В перегруппировку, подобную Ортона перегруппировке, вступают N-гало-ген-N-ацетилнафтиламины, а также PhNCl2 (в последнем случае образуется 2,4-дихлоранилин).
Ортона перегруппировка открыта Г. Бендером в 1880 и подробно изучалась К. Ортоном начиная с 1899.
Лит.: Ингольд К.. Теоретические основы органической химии, пер. с англ., 2 изд М , 1973, с. 739-43; Gold ing P. D. [а. о.], "Canad. J. Chem.", 1981, v. 59, № 5,'p. 839-50; Underwood G. R., Dietze P. E., "J. Org. Chem.", 1984, v. 49, № 26, p. 5225-29. К. В. Вацуро.