Яды простейших

ЯДЫ ПРОСТЕЙШИХ, токсичные в-ва небелковой природы, продуцируемые одноклеточными жгутиковыми (подкласс Phytomastigina, отряд Dinoflagellata, роды Gonyaulax, Gymno-dinium, Peridinium, Girodinium, Noctiluca, Glenodinium), содержащимися в нек-рых видах планктона.
При размножении динофлагеллят в воде скапливаются в-ва, окрашивающие воду в ржаво-красный цвет и обусловливающие известное с древнейших времен экологич. явление "красного прилива", сопровождающееся массовой гибелью рыб и др. морских организмов, а также массовыми отравлениями жителей стран, употребляющих в пищу морепродукты (яды накапливаются в моллюсках, рыбах и др. морских организмах).
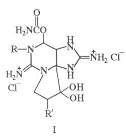
Наиб. изучен сакситоксин (продуцируют динофлагелляты Gonyaulax catenella, а также синезеленые водоросли) и его аналоги. Сакситоксин (ф-ла I; R = R' = Н) - кристаллич. соед., раств. в метаноле, этаноле, не раств. в не полярных орг. р-рителях, устойчив в кислых средах, разлагается в р-рах щелочей, устойчив до ~ 110 °С. ЛД50 8 х 10-3 мг/кг (мыши, подкожно), ЛД100 4 х 10-3 мг/кг (человек, перорально).

6049-1.jpg

Рыбы, моллюски и амфибии более устойчивы к его действию, чем теплокровные. Сакситоксин обладает нейротропной активностью; вызывает паралич дыхат. мускулатуры, угнетение дыхат. и сосудо-двигат. центров. Первые симптомы отравления - онемение языка, губ, кончиков пальцев - проявляются спустя 30 мин после приема зараженной пищи. Далее развивается сердечно-сосудистая и дыхат. недостаточность. Смерть наступает спустя 1-12 ч вследствие остановки дыхания. Лечение - симптоматическое (искусств. дыхание, аналептики, сердечно-сосудистые средства, щелочное питье). Токсич. действие обусловлено блокадой Na-каналов электровозбудимых мембран нервных и мышечных клеток. Токсин применяют для количеств. оценки плотности Na-каналов в мембранах клеток, при изучении строения каналов. Полученные данные использованы для создания новых высокоэффективных лек. препаратов, напр. местных анестетиков. Полагают, что сакситоксин можно применять как антибластич. средство.

Неосакситоксин (I; R = ОН, R' = Н) и гониатоксины I и II (ф-ла I; соотв. R = Н,6049-2.jpg и R = ОН,6049-3.jpg обладают несколько меньшей токсичностью; механизм действия, симптомы отравления, лечение поражений в осн. аналогичны сакситоксину.
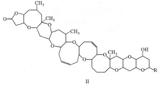
Динофлагелляты Ptychodiscus brevis продуцируют группу токсинов, из к-рых наиб. изучен и активен бреветоксин А [ф-ла II; R = СН2С(=СН2)СНО], действие к-рого обусловлено блокадой нервно-мышечной передачи. ЛД50 бреветокси-на А (неочищенный препарат) 0,5 мг/кг (мыши, внутривенно). Симптомы отравления; слюнотечение, сильный насморк, самопроизвольная дефекация, вялый паралич мышц, заканчивающийся смертью от остановки дыхания.

6049-4.jpg

Из динофлагеллят Dinophysis fortii, D. accuminata, Procentrum lima выделен ряд в-в, ответственных за отравления "диаретич. типа". Интоксикация сопровождается тошнотой, рвотой и очень сильными болями в области живота. Первые симптомы возникают спустя ~ 30 мин после приема зараженной пищи. Отравление вызывается окадаевой к-той [III; R=CH2CH(OH)COOH, R' = R" = H] и ее производными - динофизистоксинами I и III [ф-ла III; R = CH2CH(OH)COOH, R" = СН3, соотв. R' = Н и R' = ацил], а также пектенотоксинами I и II (ф-ла IV; соотв. R = ОН и R = Н). Все токсины этой группы высокоактивны; ЛД50 мг/кг (мыши, внутривенно): окадаевая к-та 0,12, пектенотоксины ~ 0,25. Динофизистоксины в дозах 0,03 мг вызывают тяжелую интоксикацию.

6049-5.jpg

6049-6.jpg

Один из наиб. мощных ядов простейших майтотоксин продуцируется динофлагеллятами Gambierdiscus toxicus. Из этих же флагеллят, а также внутренностей мн. видов рыб (напр., мурены Lycodontis javanicus и макрели Scomberomorus commerson) выделен несколько менее активный сигуатоксин и др. яды простейших. Эта группа токсинов служит причиной периодич. массовых пищ. отравлений ("сигуатера") жителей тропич. и субтропич. зон. Характерные признаки отравления: онемение языка и губ, сухость во рту, тошнота, боли в области живота и конечностей; в тяжелых случаях наблюдаются нарушение координации движений, параличи, кома и смерть.
Точная структура майтотоксина и сигуатоксина не установлена. Токсины имеют сходные структурные фрагменты. Мол. м. 1100-1500. ЛД50 сигуатоксина разл. степени очистки 0,45-0,8 мг/кг (мыши, внугрибрюшинно); ЛД50 майтотоксина ~ 0,0002 мг/кг (мыши, подкожно).
Сигуатоксин - липофильное соед., раств. в метаноле, петролейном и диэтиловом эфирах, хлороформе; не раств. в воде. Селективно действует на потенциалзависимые Na-каналы в нервных и мышечных клетках, а также в синаптич. окончаниях. В синаптосомах мозга стимулирует высвобождение нейромедиаторов -6049-7.jpgаминомасляной к-ты и дофамина, действие на адренергич. нервные окончания связано с высвобождением катехоламина. Видимо, нарушения проницаемости мембран нервных клеток в значит. части имеют необратимый характер, т.к. повторные отравления обычно протекают в более тяжелой форме и чаще завершаются смертельным исходом.
Майтотоксин обладает мощным паралитич. действием, обусловленным модификацией потенциалзависимых Са-каналов, повышением концентрации Са2+ внутри нервных клеток, спонтанным выбросом ацетилхолина и устойчивой постсинаптич. деполяризацией.

Лит.: Yasumoto Т. [а. о.], "Tetrahedron", 1985, v. 41, № 6, p. 1019-25; Shimizu Y. [а. о.], "J. Am. Chem. Soc.", 1984, v. 106, №21, p. 6433-34. Cм. также лит. при ст. Яды животных.

Г. И. Дрозд.