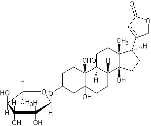
Конваллятоксин

Внешний вид:
бел. кристаллыБрутто-формула (система Хилла): C29H42O10
Молекулярная масса (в а.е.м.): 550,638
Температура плавления (в °C): 212
Растворимость (в г/100 г или характеристика):
ацетон: растворимвода: трудно растворим
хлороформ: трудно растворим
этанол: растворим
этилацетат: трудно растворим
Природные и антропогенные источники:
Содержится в ландыше майском.Летальная доза (ЛД50, в мг/кг):
0,04 (кошки)- "Химический энциклопедический словарь" под ред. Кнунянц И.Л., М.: Советсткая энциклопедия, 1983 стр. 271
- Беликов В.Г. "Учебное пособие по фармацевтической химии" М.: Медицина, 1979 стр. 417
Источники информации:
Синонимы/примеры:*
Конваллятоксин; Конваллятоксин; Конваллотоксин
*подобраны ИИ, возможны неточности