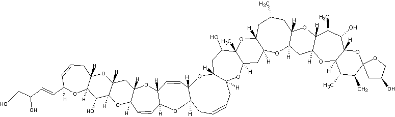
Сигуатоксин

Брутто-формула (система Хилла): C60H86O19
Молекулярная масса (в а.е.м.): 1111,313
Летальная доза (ЛД50, в мг/кг):
0,45 (мыши, внутрибрюшинно)История:
Впервые получен в Гавайском универсисете Scheuer P.J. с сотрудниками в 1961 г. Структура установлена в 1989 г.
- "Химическая энциклопедия" т.5 М.: Советская энциклопедия, 1999 стр. 529
- Племенков В.В. "Введение в химию природных соединений" Казань, 2001 стр. 332-333
Источники информации:
Ещё по теме
Ксантотоксин — свойства и применение
Ксантотоксин — информация и применение
Кокаин; метилбензоилэксонин
Цикутотоксин — что это и как он действует?