Фталазин
ФТАЛАЗИН (бензо[d]пиридазин, 2,3-диазанафталин), мол. м. 130,15; бесцв. кристаллы, т. пл. 90-91 0C, т. кип. 189 °С/29 мм рт.ст.;
16,25·10-30 Кл·м. Хорошо раств. в большинстве орг. р-рителей, не раств. в воде; сильное основание (рКа 3,47).

По хим. св-вам фталазин- типичный представитель p-дефицитных гетероароматич. соединений. С нек-рыми неорг. и орг. к-тами образует устойчивые одноосновные соли, напр. хлороплатинат, пик-рат. Присоединяет в положения 1,2 металлоорг. соед., образуя 1-алкил- или 1-арил-1,2-дигидрофталазины, к-рые легко окисляются (напр., O2 воздуха, K3[Fe(CN)6]) в 1-замещенные производные:

При действии на фталазин CH3I образуется 2-метилфтала-зинийиодид, превращающийся при обработке щелочью в смесь 2-метил-1,2-дигидрофталазина и 2-метил-1(2H)-фтала-зона:

Восстановление фталазина амальгамой Na приводит к 1,2,3,4-тет-рагидропроизводному; в более жестких условиях происходит расщепление гетероцикла:

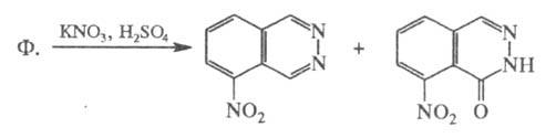
Электроф. замещение во фталазине протекает в жестких условиях по бензольному кольцу, напр.:

Окисление фталазина действием KMnO4 в щелочной среде приводит к расщеплению бензольного кольца с образованием пиридазин-4,5-дикарбоновой к-ты, окисление действием H2O2 в CH3COOH при 0 0C - к 2-оксиду фталазина (выход 90%), взаимод. к-рого с POCl3 дает 1-хлорфталазин.
Фталазин получают взаимод.
-тетрахлор-о-ксилола с сульфатом гидразина или конденсацией фталевого альдегида с гидразингидратом в этаноле:

Алкил- и арилпроизводные синтезируют взаимод. производных 1,2-диацилбензола гидразингидратом:

Нек-рые производные фталазина обладают хемилюминесцентными св-вами, проявляют антималярийную, противотуберкулезную и гипотензивную активность.
Лит.: Гетероциклические соединения, под ред. P. Эладерфилда, пер. с англ., т. 6, M., 1960, с. 160; Общая органическая химия, пер. с англ., т. 8, M., 1985, с. 160-84. В.И. Келарев, PA. Караханов.