Фосфорсодержащие гетероциклы
ФОСФОРСОДЕРЖАЩИЕ ГЕТЕРОЦИКЛЫ, гетероциклич. соед., содержащие в цикле в качестве гетероатома один или неск. атомов фосфора (наряду с др. гетероатомами или без них).
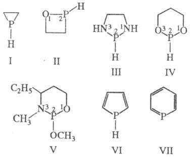
Называют фосфорсодержащие гетероциклы по правилам номенклатуры гетероциклических соединений с использованием префикса "фосфа" (в нек-рых случаях "фосф" и "фосфор"; последний применяют всегда, если корень начинается с букв "ин"). Цифровые индексы указывают положение заместителей в кольце. Напр.: соед. I наз. фосфиран, соед. II - 1,2-оксафосфетан, соед. III -1, 2, 3-диазафосфолан, соед. IV- 1,3, 2-диоксафосфоринан, соед. V - 3-метил-2-метокси-4-этил-1, 3, 2-оксаазафосфори-нан, соед. VI - фосфол, соед. VII - фосфорин.

Наиб. подробно изучены моноциклич. фосфорсодержащие гетероциклы. Насыщенные моноциклич. фосфорсодержащие гетероциклы во многом напоминают по св-вам соответствующие ациклич. соединения. Так, соед. VIII и IX проявляют примерно одинаковую склонность к окислению, суль-фуризации, алкилированию. Оба реагируют со спиртами с разрывом связи P-N. Однако ациклич. соед. легко обменивает на алкоксил все три амидогруппы, а циклические -только одну (экзоциклическую); др. группы также могут принимать участие в обмене, но в более жестких условиях.

Реакц. способность таких гетероциклов зависит и от их геометрии. Так, стереоизомер X с аксиальной алкоксильной группой легче окисляется по атому P, чем стереоизомер XI с такой же группой в экваториальном положении.

Размер кольца в фосфорсодержащих гетероциклах также определяет ряд св-в этих соединений. Как правило, 1,3,2-диоксафосфоринаны (6-член-ные гетероциклы) являются более электронодонорными соед., чем подобные 1, 3, 2-диоксафосфоланы (5-членные гетероциклы).
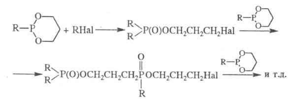
Фосфорсодержащие гетероциклы, содержащие в цикле связи P-O, могут полимеризо-ваться. Катализаторы такого процесса - алкилгалогениды, "включающие" механизм Арбузова реакции, напр.:

Большим своеобразием обладают напряженные бициклич. фосфорсодержащие гетероциклы (напр., соед. XII). Угловое напряжение в связях О —P-O таких соед. приводит к понижению основности и нуклеофильности бициклов. По этой причине бициклофосфиты более стабильны, чем триалкилфосфиты. У этих соед. очень легко (значительно легче, чем у триалкилфосфатов) происходит разрыв связи P-O при действии протонсо- держащих нуклеофилов; эта р-ция проявляет высокую регио-селективность, напр.:


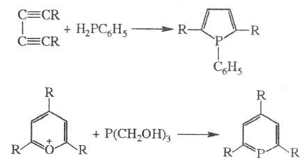
Для получения фосфорсодержащих гетероциклов используют разл. р-ции, напр.:

Важную роль в получении фосфорсодержащих гетероциклов играют фосфоэфирные циклизации, напр. (В — основание):

К фосфорсодержащим гетероциклам относятся нек-рые очень важные прир. в-ва (напр., аденозинмонофосфат циклический), лек. ср-ва, пестициды, лиганды для металлокомплексных катализаторов, мономеры. Фосфорсодержащие гетероциклы широко используют в тонком орг. синтезе.
См. также Дигетерофосфоланы, Дигетерофосфоринаны.
Лит.: ПурделаД., Вылчану Р., Химия органических соединений фосфора, пер. с рум., M., 1972; Нифантьев Э.Е., Завалишина А.И., "Успехи химии", 1982, т. 51, в. 10, с. 1601-37; Черкасов Р.А. [и др.], "Успехи химии", 1982, т. 51, в. 8, с. 1305-36; M a th ey R, "Topics phosphorus chemistry", 1980, v. 10, p. 1-128; Quin L., The heterocyclic chemistry of phosphorus systems based on the phosphorus-carbon bond, N.Y., 1981.
Э.Е. Нифантьев.