Феноксазин
ФЕНОКСАЗИН (дибензо-1,4-оксазин), мол.м. 183,2; бесцв. кристаллы; т. пл. 156-159 0C; m 6,1·10-30 Кл·м. Хорошо раств. в ацетоне, диэтиловом эфире, хлороформе, не раств. в воде. Р-ры феноксазина в орг. р-рителях имеют фиолетово-красную флуоресценцию. Молекула слегка непланарна.

Феноксазин обладает св-вами ароматических соединений.
Электроф. замещение протекает легко и направляется в первую очередь в положения 3 и 7 (нитрование, бромирование) или 2 и 8 (р-ция Фриделя - Крафтса); легко также идет N-ацилирование и N-цианоэтилирование.
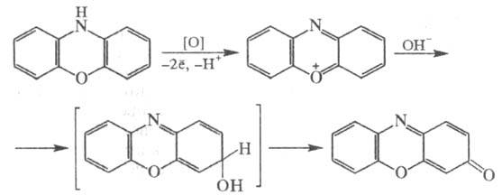
Алкилирование происходит только в присут. NaNH2. Феноксазин при действии окислителей (FeCl3, Br2, H2O2) в кислой среде (CH3COOH, H2SO4, HClO4) дает соли, окрашенные в оранжевый цвет, к-рые при обработке щелочами превращаются в 3(ЗH)-феноксазинон:

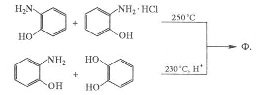
Получают феноксазин нагреванием о-аминофенола с его гидрохлоридом или пирокатехином в присут. кислых катализаторов, а также нагреванием (270 0C) о-аминофенола с I2 (выход 30-35%):

Другой способ получения - внутримол. циклизация 2,2'-ди-замещенных дифенилового эфира при натр, с разл. конденсирующими агентами:

Феноксазин- структурный фрагмент антибиотиков группы актино-мицина; производные феноксазина- синтетич. красители (см. Оксази-новые красители).
Лит.: Гетероциклические соединения, под ред. P. Эльдерфилда, пер. с англ., т. 6, M., 1960, с. 551-68; Общая органическая химия, пер. с англ., т. 9, M., 1985, с. 580-95. Г. А. Швехгеймер, В. И. Келарев.