Триметилолфосфин
ТРИМЕТИЛОЛФОСФИН [трис-(гидроксиметил)фосфин] (НОСН2)3Р, мол. м.124,08; бесцв. кристаллы с характерным запахом фосфинов; т.пл. 53°С, т.кип. 115°С/2,5 ммрт. ст.; раств. в этаноле, хлороформе, ацетоне, Н2О (рН водных р-ров ок. 6,5), плохо раств. в полярных орг. р-рителях.
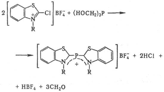
Выше 100°С триметилолфосфин постепенно разлагается, легко окисляется до (НОСН2)3РО при действии окислителей (О2, Н2О2, КМпО4 и др.). При взаимодействии триметилолфосфина с серой образуется фосфинсульфид (HOCH,)3PS, с гидрохиноном и HgCl2-устойчивые комплексы (т.пл. соотв. 160 и 135°С). Со мн. электрофилами дает соли фосфония, напр.:

При взаимодействии триметилолфосфина с нитрилами a,b-ненасыщ. кар-боновых к-т (в присут. Н2О и неорг. к-т) первоначально образуются соли фосфония, к-рые, отщепляя СН2О и Н2О, превращ. в трис-(b-цианоэтил)фосфины (NCCH2CHR)3P. Неустойчивость нек-рых гидроксиметилфосфониевых солей дает возможность получать из триметилолфосфина фосфаметинцианины, напр.:

Как полиол триметилолфосфин вступает также в обычные р-ции с участием групп ОН.
В р-циях триметилолфосфина с полифункцион. соединениями (напр., аро-матич. и алифатич. полиаминами, полисульфохлоридами) образуются фосфорсодержащие полимеры линейного и сетчатого строения.
Триметилолфосфин получают взаимод. РН3 с формальдегидом:
РН3 + 3СН2О : (НОСН2)3Р
Р-цию осуществляют пропусканием РН3 при нормальном давлении над пов-стью параформа, нагретого до 80-100 °С, или нагреванием РН3 и параформа (80-100 °С) в автоклаве; выход близок к 100%.
Триметилолфосфин-компонент огнестойких пропиток текстиля и древесины (антипирен), добавка к смазочным маслам, полупродукт в синтезе фосфорсодержащих полимеров.
Лит.: Петров К. А., Паршина В. А., "Успехи химии", 1968, т. 37, в. 7, с. 1218-42; Химия и применение фосфорорганических соединений, М., 1972, с. 285-92. Г. И. Дрозд.