Топохимические реакции
ТОПОХИМИЧЕСКИЕ РЕАКЦИИ, твердофазные р-ции, протекающие локально, в определенных участках твердого тела, там же локализуется и твердая фаза продукта. Типичные топохимические реакции: выщелачивание горных пород, восстановление металлов из руд, обжиг, нек-рые стадии фотографич. процесса, хим, травление.
В большинстве случаев топохимические реакции начинаются в области протяженных дефектов кристаллич. решетки (дислокаций, границ зерен и т. п.), где потери энергии на деформацию связей хим. подсистемы с решеткой уменьшаются и существует нек-рый свободный объем, облегчающий переориентацию реагирующих частиц и их взаимодействие (см. Реакции в твердых телах). В результате образуются зародыши новой фазы продукта и формируются новые протяженные дефекты-межфазные границы между исходной твердой матрицей и твердой фазой продукта. Дальнейший рост фазы продукта происходит вследствие р-ции на этих границах, а скорость процесса пропорциональна площади пов-сти раздела фаз, к-рая вначале растет, а затем уменьшается по мере слияния отдельных частиц фазы продукта.
Такая кинетика действительно наблюдается в тех случаях, когда продукты р-ции легко выделяются из исходной матрицы, без существенного нарушения ее структуры. Если же в результате формирования новой фазы изменяется локальная структура матрицы в зоне р-ции, скорость топохимических реакций резко падает уже при малых степенях конверсии. Так происходит, напр., при твердофазной полимеризации ряда гетероциклов и диацетиленовых соед. из-за амортизации участков кристаллич. матрицы реагентов на границе с зародышами фазы продукта.
Т. обр., для топохимических реакций характерно, что кинетика р-ции обусловлена топографией тела в зоне р-ции. Этот смысл отражен в термине "топохимические реакции" (введен В. Кольшуттером в 1919). Однако при таком подходе не учитывается, в какой степени хим. структура и пространств. строение продукта связаны со структурой матрицы, т. е. с расположением частиц в решетке твердого тела.
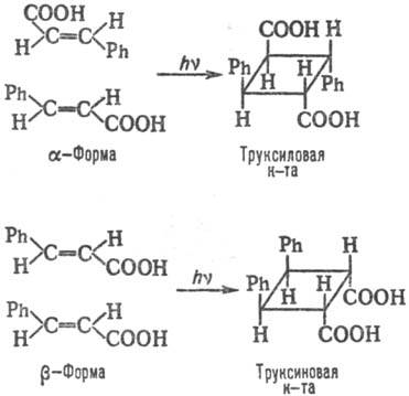
Согласно совр., более строгому определению, топохимические реакции-это такие твердофазные процессы, при к-рых исходная конфигурация частиц в решетке твердого тела однозначно определяет конфигурацию продукта, т.к. межмолекулярные взаимод. в решетке препятствуют переориентации реагирующих частиц при перемещении хим. подсистемы вдоль координаты р-ции. Впервые такой "топохим. контроль" был обнаружен Дж. Шмидтом и М. Коэном в 1964 при исследовании фотодимеризации разл. кристаллич. модификаций коричной к-ты С6Н5СН=СНСООН. В кристаллах а-модификации в соответствии со структурой решетки образуется всегда только труксиловая к-та, в кристаллах b-модификации -труксиновая:

Помимо высокой селективности по хим. структуре продукта, топохимические реакции отличаются и стереоселективностью. Так, при жидкофазной фотодимеризации производных бутадиена с фенильными (Ph) и тиофеновыми (Th) заместителями возникают два энантиомгра I и П. Однако в монокристаллах, образованных смесью этих мономеров, под действием асимметричного поля решетки происходит преим. образование одного из энантиомеров -I или II, в зависимости от того, как возбужденные молекулы мономеров взаимод. с полем решетки:

При определенных условиях топохимической реакции кристаллографич. оси образующихся кристаллов продукта ориентированы относительно кристаллографич. осей исходной матрицы. Иными словами, кристаллы реагента топохимически преобразуются в кристаллы продукта. Такое преобразование возможно, если мех. напряжения, сопровождающие твердофазную р-цию, не нарушают упорядоченного расположения частиц, что имеет место, напр., при фотоциклодимеризации диенов, ступенчатой фотоциклополимеризации нек-рых производных дивинилбензола. Однако во мн. случаях, напр. при полимеризации кристаллич. мономеров, структурная корреляция между исходной матрицей и продуктом существует только в начальной стадии р-ции.
В решетке аморфного твердого тела структура отдельных ячеек различна, соответственно и структура фазы продукта топохимической реакции оказывается неоднородной. Напр., при фотодимеризации стеклообразных эфиров коричной к-ты, в отличие от аналогичной р-ции в кристаллич. к-те, селективность по хим. структуре продукта не имеет места.
Топохимические реакции используются в орг. и неорг. синтезе. На основе топохимических реакций фотоциклоприсоединения в кристаллах бифункцион. диоле-финовых соед. разработаны методы получения новых оптически активных полимеров (см. Твердофазная полимеризация). Важное значение имеет топохим. полимеризация кристаллич. диацетиленов, в результате к-рой образуются полимерные кристаллы, состоящие из вытянутых регулярных цепей с сопряженными связями. Эти кристаллы перспективны как материал нелинейной оптики и мол. электроники.
Лит.: Болдырев В. В., Влияние дефектов в кристаллах на скорость термического разложения твердых веществ, Томск, 1963; Розовский А. Я., Кинетика топохимических реакций, М., 1974; Продан Е.А., Неорганическая топохимия, Минск, 1986. См. также лит. при статьях Реакции в твердых телах, Химия твердого тела. Г. Н. Герасимов.