Сульфиды органические
СУЛЬФИДЫ ОРГАНИЧЕСКИЕ (тиоэфиры), соед. общей ф-лы RSR', где R и R'-opг. остатки; атом S может входить в цикл.
Наиб. часто сульфиды органические называют, прибавляя суффикс "сульфид" к названию орг. радикалов, напр. СН3SС2Н5-метилэтил-сульфид, (С1СН2)2S-бис-(хлорметил)сульфид. В полифунк-цион. соединении группу RS называют органилтио-, напр. C2H5S(CH2)2COOH-3-(этилтио)пропионовая к-та. Используют также заменительную номенклатуру, напр. СН3SСН2SСН3-2,4-дитиапентан. Циклические Со. называют по правилам наименования гетероциклических соединений. Иногда употребляют систематич. и тривиальные назв. кислородсодержащих соед. с префиксом "тио", напр. тиооксид этилена, тиоанизол и т.п. Особую номенклатуру применяют в Chemical Abstracts, напр. (СН3)2S-тиобисме-тан, Ph2S -1,1 -тиобензол.
В природе сульфиды органические содержатся в неочищенной нефти в качестве примесей, нек-рые сульфиды органические-биологически активные прир. соединения, напр. метионин.
Низшие алифатические сульфиды органические -подвижные бесцв. жидкости; не раств. в воде, хорошо раств. в орг. р-рителях. Технические сульфиды органические обладают неприятным запахом, чистые-без запаха. Сульфиды органические кипят выше своих кислородных аналогов-простых эфиров.
В ИК спектрах сульфидов органических наблюдаются валентные колебания связей R—S в области 570-705 см-1 (при R = Alk-слабые полосы, при R = Ar, винил-полосы средней интенсивности). Фрагмент CH3S дает характерную полосу поглощения при 1325 см-4 (деформац. колебания связи С—Н). В УФ спектрах алифатических сульфидов органических присутствуют полосы поглощения 200, 220 и 240 нм, для алкиларилсульфидов 205-230, 235-270, 275-300 нм, обусловленные переходами n : s*.
Длина связи С—S ок. 0,18 нм для насыщ. алифатических сульфидов органических и ок. 0,175 нм для диарилсульфидов. Валентный угол между связями R—S—R' возрастает с увеличением объема заместителей R и R' и составляет, напр., при R = R' = СН3 98,9°, R = R' = Ph 109°, R = R' = CF3 105,6°, R = CH3, R' = C(SCH3)3 118,5°.
Реакции по атому S. Сульфиды органические -более слабые основания, чем простые эфиры, но обладают большей нуклеофиль-ностью. С разл. электроф. реагентами (к-ты Льюиса, соли тяжелых металлов) образуют донорно-акцепторные комплексы. Р-ция сульфидов органических с алкилиодидами, диалкилсульфатами и алкилсульфонатами, а также со спиртами в присут. к-т приводит к солям сульфония (см. Сульфониевые соединения), напр.: RR'S + R:X:[RR'SR:]+X-. Сульфиды органические, содержащие винильную или арильную группу либо Hal, или др. электро-ноакцепторную группу в a- и даже b-положениях, менее склонны к комплексообразованию.
Сульфиды органические окисляются Н2О2 в ледяной СН3СООН или ацетоне, а также орг. надкислотами в эквимолярных кол-вах до сульфоксидов, при избытке этих же окислителей или при действии KMnO4, HNO3 и т.п. образуются сульфоны. Окисление арилалкилсульфидов Сl2 или Вr2 в присут. Н2О используют для получения ароматич. сульфонилгалогенидов:

Фотоокисление бензилалкилсульфидов сопровождается расщеплением связи S—бензил:
+ RS(O)SR или RS(O2)SR.
Окислит. фторирование сульфидов органических действием F2, XeF2, C1F и т. п. приводит к образованию RR'SF2 или RR'SF4, к-рыге при гидролизе дают соответствующие сульфоксиды и сульфоны.
Реакции сульфидов органических по органическим радикалам. Атом S в орг. соединении стабилизирует карбанионы, карбка-тионы и радикалы в a-положении; повышает СН-кислот-ность соед., к-рая возрастает по мере накопления геми-нальных RS-групп. Сульфиды органические, содержащие a-H-атом, при взаимод. с RLi образуют устойчивые в р-ре Li-производные, напр.: RSCH3 + C4H9Li : RSCH2Li+. a-Алкил(арил)тиоза-мещенные соед. легко вступают в р-ции с участием карб-анионов, напр.:

Аллилсульфиды подвергаются анионотропной изомеризации в пропенилсульфиды:

При действии галогенирующих агентов на алифатич. сульфиды происходит замещение a-H-атомов на галоген, напр.:
(CH3)2S : CH3SCH2Cl : CH3SCHCl2 : CH3SCCl3 : : C1CH2SCCl3 : Cl2CHSCCl3
При дальнейшем хлорировании расщепляются связи С—S. a-Хлор диалкилсульфиды-активные алкилирующие агенты. Под действием оснований (NaOH или трет-бутилат К) a-H-a-галогенсульфиды образуют алкилтио- и арилтиокар-бены, фиксируемые разл. способами:

Гидролиз a-галогенсульфидов протекает по механизму SNl до тиола, альдегида и HHal; a,a-дигалогендиалкил-сульфиды гидролизуются до эфиров тиолкарбоновых к-т:

Для сульфидов органических, содержащих галоген в b-положении, характерны р-ции нуклеоф. замещения (промежуточно образуются эпи-сульфониевые соли):

a, b-Ненасыщенные сульфиды органические вступают в реакции электроф. присоединения, а также в радикальные реакции; винил-сульфиды способны к реакциям электроф. замещения b-H-атомов, напр.:

В ароматич. ядре группа RS активирует кольцо в р-циях электроф. замещения и ориентирует вступающие заместители в орто- и пара-положения.
Реакции с расщеплением связи С — S. Восстановители (LiAlH4, NaBH4, Na в жидком NH3 и др.) расщепляют сульфиды органические по схеме: RSR' : RSH + R'H. Легкость расщепления зависит от природы орг. радикала (R') и уменьшается в ряду: алкинил > винил ! аллил > алкил, а при R' = Alk в ряду: третичный > вторичный > первичный. Расщепление дибен-зилсульфидов под действием оснований сопровождается в зависимости от условий перегруппировками Соммле или Стивенса:

При действии электроф. реагентов (к-т, На12, HalCN и т.п.) образуются производные S(II), напр.:

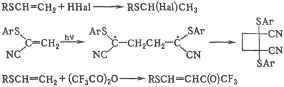
В случае несимметричных сульфидов органических отщепляется тот радикал, к-рый образует наиб. стабильный карбкатион. В препаративных целях в качестве уходящей группы чаще всего используют бензильную группу. Известно фотохим. и термич. расщепление сульфидов органических, напр.:

Основные методы получения сульфидов органических 1) Взаимод. неорг. сульфидов или тиолатов металлов с алкил(арил)-галогенидами, сульфатами или тозилатами. Для получения диарилсульфидов применяют также р-ции с солями арилдиазония.
2) Присоединение серосодержащих реагентов к олефинам и ацетиленам; в отсутствие инициаторов и при кислотном катализе присоединение происходит по правилу Марковни-кова, в присут. пероксидов и при УФ облучении-против правила, напр.:

С олефинами, активированными электроноакцепторными заместителями (COOR, CN, COR, SO2R и т.п.), р-ция протекает в присут. основных катализаторов, напр.:
C2H5SH + CH2=CHCN : C2H5SCH2CH2CN
Присоединение меркаптанов к производным ацетилена используют для получения ненасыщенных сульфидов органических, напр.:

b-Хлоралкилсульфиды получают взаимод. олефинов с хлоридами серы или сульфенилхлоридами:
СН3СН=СН2 + SCl2 : (CH3CHClCH2)2S СН2=СН2 + PhSCl : PhSCH2CH2Cl
Диалкил(арил)дисульфиды присоединяются к олефинам в условиях радикальной р-ции, напр.:

3) Р-ция H2S с оксиранами-способ получения b-гидроксиалкилсульфидов, напр.:

4) Сульфенилирование ароматич. соединении или СН-кис-лот в присут. соотв. к-т Льюиса или оснований. Сульфе-нилирующие агенты -SCl2, S2Cl2 и производные сульфе-новых к-т RSX (X = Cl, SR', NR'J, напр.:

5) Десульфуризация диалкил(арил)дисульфидов в присут. оснований или к-т Льюиса [SbF5, BF3, (RO)3P, R3P и др.], в нек-рых случаях при нагр.: RSSR : RSR + S.
Для обнаружения сульфидов органических используют р-цию с солями тяжелых металлов (HgCl2, AuCl3, PtCl4 и др.) с образованием нерастворимых в воде комплексных соед.; действие алкилгалогенидов, Сl2 или Вr2, либо хлорамина Т с образованием соотв. крнсталлич. солей сулъфония, либо суль-финилиминов (CH3C6H4SO2N=SR2); расщепление сульфидов органических HI и последующее качеств, определение тиолов. Количеств. определение проводят по кол-ву выделяющегося НВr при окислении сульфидов органических бромной водой до сульфоксидов, а также по образованию сульфонов при окисления надкислотами или озоном.
Применяют сульфиды органические в качестве одорантов горючих газов, антиоксидантов, стабилизаторов топлив, смазочных масел и полимеров, ингибиторов радикальных р-ций в хим. пром-сти. В виде структурных фрагментов сульфиды органические входят в состав пестицидов, лек. ср-в, полимеров, вулканизатов, ингибиторов коррозии. Диметилсульфид-сырье для получения диметилсульфоксида, дивинилсульфид-мономер для получения ионообменных смол и адсорбентов. a- и b-Га-логеналкилсульфиды- полупродукты в хим. и фармацевтич. пром-сти. бис-(b-Хлорэтил)сульфид-ОВ (см. Иприт).
При действии на организм сульфиды органические вызывают дистрофич. изменения внутр. органов, сосудистые расстройства. а-Галогеналкилсульфиды раздражают кожу, глаза и органы дыхания, в больших концентрациях вызывают отек легких.
Лит.: Общая органическая химия, пер. с англ., т. 5, М., 1983, с. 163-237; Сигэ'ру Оаэ, Химия органических соединений серы, М., 1975, с. 109-55; Коваль И. В., "Успехи химии", 1994, т. 63, в. 2, с. 154.
А. Ф. Ермолов.