Диуретические средства
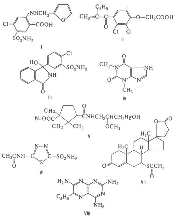
ДИУРЕТИЧЕСКИЕ СРЕДСТВА (от греч. diureo - выделяю мочу) (диуретики, мочегонные средства), лек. в-ва, увеличивающие выделение почками мочи и уменьшающие содержание жидкости в организме человека. Действуют в осн. на структурную единицу почки - нефрон, уменьшая обратное всасывание (реабсорбцию) ионов Na+ в кровь. В результате увеличивается выделение из тканей ионов Na+, вместе с к-рыми выделяется больше воды. Уменьшая кол-во жидкости в тканях, диуретические средства улучшают кровообращение при отеках. Общепринятой классификации диуретических средств нет. Иногда в соответствии с особенностями вызываемых эффектов различают: 1) салуретики, усиливающие выделение из организма солей Na и К, ионов Сl- и т. п., - фуросемид (ф-ла I) и близкий к нему по структуре буметанид, этакриновая к-та (II), дихлотиазид, хлорталидон (III), теофиллин (IV) и теобромин (см. также Пуриновые алкалоиды), эуфиллин, представляющий собой смесь теофиллина с 1,2-этилендиамином, новурит (V), диакарб (VI) и др.; 2) калийсберегающие диуретические средства, отличающиеся способностью задерживать выделение ионов К+ из организма, - антагонисты альдостерона, напр., спиронолактон (VII), производные аминоптеридина, в частности триамтерен (VIII); 3) осмотические диуретические средства, связывающие молекулы воды и повышающие осмотич. давление крови, препятствующие тем самым реабсорбции воды и ионов, - маннит и мочевина.
Лит.. Лебедев А. А., Диуретики и кровообращение, Куйбышев, 1976; Машковский М. Д., Лекарственные средства, т. 1, 10 изд., М., 1985, с. 476-507 А. А. Лебедев.
Ещё по теме
Диуретик — эффективное средство из Нидерландов
Диусемид — инструкция по применению
Методы диализа и электродиализа
Функции почек и процесс мочеобразования
Адиуретин — показания, противопоказания, побочные эффекты
Гидрохлортиазид — свойства и применение
Механизмы реабсорбции в почках
Адиуретин-СД — применение и особенности препарата
Адиурекрин — применение и противопоказания
Мидодрин — действие, применение и противопоказания
Адиуретин СД — показания, противопоказания, побочные эффекты
Механизм образования мочи — ключевые процессы и регуляция