Стереоселектйвный синтез
СТЕРЕОСЕЛЕКТИВНЫЙ СИНТЕЗ, р-ции, предпочтительно или исключительно приводящие к образованию одного из возможных пространств. изомеров (см. Изомерия). Такие р-ции наз. стереоселективными. Напр., при восстановлении 4-трет-бутилциклогексанона I с помощью Na[BH4] соответствующий спирт образуется в осн. в виде транс-изомера II:

Р-ции, в к-рых исходными в-вами служат стереоизомеры, превращающиеся в стереоизомерно разл. продукты, наз. стереоспецифическими. Напр., при бромировании ма-леиновой к-ты III (цис-изомер) образуется 2,3-дибромянтар-ная к-та IV в виде трео-( b )-пары (рацемат), в то время как фумаровая к-та V (транс-изомер) в тех же условиях дает соед. IV в виде мезо-формы:

Все стереоспецифич. р-ции обязательно стереоселективны, тогда как обратное утверждение не верно. Напр., оба p-диастереомера этилового эфира b-хлоркоричной к-ты VI взаимодействуют с магнийорг. соед. с преимуществ. образованием одного и того же соед. VII. Следовательно, эта р-ция стереоселективна, но не стереоспецифична.

Пример нестереоселективной р-ции-гидратация Z- и E-2-бутенов VIII, приводящая в обоих случаях к рацемич. смеси R- и 5-2-бутанолов IX:

К р-ций, в к-рой участвует соед., не имеющее стерео-изомеров, понятие стереоспецифичности не м. б. применено. Р-ция такого субстрата м. б. только стереоселективной. Напр., присоединение брома к метилацетилену X приводит к преимуществ. образованию транс-1,2-дибромпропа-на XI:

Обычно различают два вида селективности, один из к-рых относится к субстрату (субстратоселективность), а другой-к продуктам р-ции (продуктоселективность). Субстратоселективность, проявляемую стереоизомерами, подразделяют на субстратную диастереоселективность и субстратную энантиоселективность. Субстратной энантиосе-лективностью в совр. терминологии называют превращения энантиомеров с разл. скоростями под действием цир-кулярно поляризованного света или нерацемич. хирального реагента.
Субстратная диастереоселективность обусловлена различием в реакц. способности диастереомеров относительно к.-л. реагента. Так, окисление диастереомерных циклогексанолов II и XII приводит к одному и тому же продукту XIII с разл. скоростями, напр. в 80%-ной уксусной к-те kax/keq = 3,2 для след. р-ции (ax-аксиальный, eq-экваториальный):

Диастереомеры могут превращ. в разл. диастереб-мерные продукты с разными скоростями (k1 > k2), как, напр., при дебромировании диастереомерных 2,3-дибром-бутанов XIV:

Различие в скоростях р-ций диастереомеров м.б. столь значительным, что один из них оказывается нереакционно-способным. Напр., (b)-1,2-дихлор-1,2-дифенилэтан XV де-гидрохлорируется в пиридине при 200 °С, а его мезо-изомер инертен в тех же условиях.

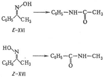
Диастереомеры могут превращ. в недиастереомерные соед., а также в соед. разного строения, что наглядно показано классич. примером перегруппировки Бекмана для Е- и Z-оксима XVI:

В 1971 И. Идзуми предложена классификация стереосе-лективных р-ций, основанная на симметрии субстрата. В соответствии с этой классификацией р-ции, приводящие к неравным кол-вам стереоизомеров, наз. стереодиффе-ренцирующими. В зависимости от природы субстрата к этому названию добавляют префиксы "энантио" и "диа-стерео" (если речь идет о стереоизомерах), "энантиотопно" и "диастереотопно" (если различаются группы), "энантио-фасно" и "диастереофасно" (в том случае, когда превращение затрагивает стороны субстрата).
Для возникновения энантиостереодифференциации требуется воздействие на субстрат хирального агента, в то время как для диастереодифференциации не требуется. Т. е., ключом к энантиодифференциации служит окружение (реагент, р-ритель, катализатор), тогда как для диастереодифференциации такой ключ заложен в самой молекуле (пространств. затруднения, стереоэлектронные эффекты; см. Динамическая стереохимия).
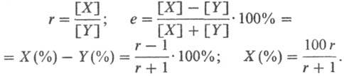
Под продуктоселективностью подразумевается тот случай, когда из одного субстрата предпочтительно образуется один, а не два или более стереоизомерных продукта. Однако понятие продуктоселективности' применимо также и к р-циям, в результате к-рых образуются два продукта (X и У). Тогда количественно селективность можно охарактеризовать либо соотношением продуктов (r), либо их процентным содержанием, либо избытком осн. продукта (е). Если кол-во [X] больше кол-ва [У], справедливы след. соотношения:

Если число продуктов р-ции превышает два, мерой стерео-селективности также является их соотношение или процентное содержание в смеси. Процент преобладающего стерео-изомера часто называют стереоселективностью р-ции. Если в результате р-ции возникает пара диастереомеров, мерой стереоселективности является диастереоселективность.
Образование диастереомеров в качестве продуктов р-ции обязательно включает диастереомерные переходные состояния, энергии к-рых неодинаковы. В результате диастерео-меры всегда образуются в неравных кол-вах. Поэтому всегда, когда возможно образование диастереомеров, можно считать, что они получаются в неравных кол-вах. Наблюдаемое при этом соотношение продуктов контролируется или разл. относит. скоростями их образования (кинетически контролируемая стереоселективность), или константой равновесия продуктов (термодинамически контролируемая селективность), или и тем и другим факторами.
Факторы, контролирующие диастереоселективность, можно разделить на стереоэлектронные и чисто пространственные (стерические). Напр., присоединение брома к малеи-новой к-те III приводит к образованию 2,3-дибромянтарной к-ты IV в виде трео-(b)-пары, что хорошо объясняется на основании механизма р-ции, протекающей исключительно как антиприсоединение (стереоэлектронный контроль).
Р-ция Дильса-Альдера между циклич. диенами и несимметричными диенофилами в большинстве случаев протекает преим. как эндо-присоединение (стерический контроль):

Преимуществ. образование термодинамически менее выгодного аксиального спирта XVIII при восстановлении цикло-гексанона XVII-результат согласованного действия пространств. факторов: стерических затруднений, создаваемых для подхода гидрид-иона аксиальной метильной группой при атоме С-3 и объемностью восстанавливающего агента:

Термины "стереоселективность" и "стереоспецифичность" иногда употребляют в неск. другом смысле. Так, нек-рые исследователи стереоспецифическими наз. р-ции с высокой (более 98%) стереоселективностью, другие предлагают применять понятие селективности для отражения особенностей селекции изомеров исходного субстрата, а понятие специфичности-для характеристики протекания самой р-ции и изомерного состава продуктов р-ции. Частный случай стереоселективного синтеза-асимметрический синтез.
Лит.: Мислоу К., Рабан М., в кн.: Избранные проблемы стереохимии, пер. с англ., М., 1970; Идзуми И., Таи А., Стерео-дифференцирующие реакции, пер. с англ., М., 1979; Ногради М., Стереоселективный синтез, пер. с англ., М., 1989. Е. Л. Гайдарова.