Средства для наркоза
СРЕДСТВА ДЛЯ НАРКОЗА, лек. в-ва для общего обезболивания человека. В зависимости от способа их применения различают ингаляционные и неингаляционные средства для наркоза. К первым относят ряд летучих (легко испаряющихся) жидкостей и газообразных в-в. Из жидкостей наиб. значение имеют диэтиловый эфир, фторотан, трихлорэтилен, мето-ксифлуран, этран. Метоксифлуран СН3ОСР2СНС12-мол. м. 164,97, бесцв. жидкость с фруктовым запахом, т. пл. — 35 °С, т. кип. 105°С, давление пара при 20 и 37 °С соотв. 3,1 и 7,4 кПа, DHисп 226 кДж/кг, раств. в воде (2,1 г/л), минер. маслах. При 20 °С смеси паров метоксифлурана с О2 не взрывоопасны. Ингаляция воздуха с содержанием метоксифлурана 0,5-1,0% по объему вызывает наркоз. По активности этот препарат превосходит диэтиловый эфир. Этран (энфлюран) СlFСНСF2ОСНF2-мол. м. 184,49, бесцв. жидкость с приятным запахом, т. кип. 50,2 °С, давление пара при 20 и 37 °С соотв. 23,3 и 47,3 кПа, DHисп 176 кДж/кг, раств. в воде (2,8 г/л). Химически инертен, устойчив на солнечном свету; взрывоопасен.
Среди газообразных ингаляционных средств для наркоза наиб. распространены циклопропан и закись азота (гемиоксид азота; см. Азота оксиды). Первый активнее второго, к-рый применяется, как правило, в сочетании с другими средствами для наркоза. В организме оба газа не разлагаются и не образуют никаких соединений.
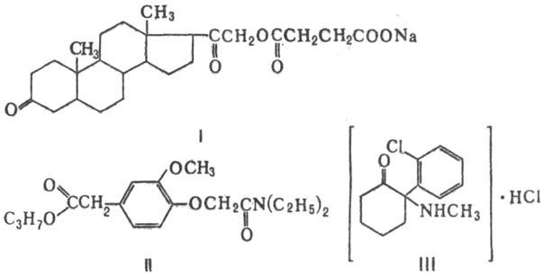
Неингаляционные средства для наркоза вводят внутривенно или внутримышечно. К ним относят барбитураты (см. также Снотворные средства), из к-рых наиб. значение имеют гексенал и тиопентал-натрий, а также "небарбитуровые" препараты-виадрил Г, пропанидид, кетамин, натрия оксибути-рат. Виадрил Г (предион; ф-ла 1)-мол. м. 454,54, бесцв. кристаллы, хорошо раств. в воде, физиол. р-ре NaCl и глюкозе. В организме легко гидролизуется с образованием сукцината Na и 21-гидроксипрегнандиона, к-рый действует как снотворное и средство для наркоза. Пропанидид (эпонтол, сомбревин; II)-мол. м. 337,42, маслянистая жидкость желтоватого цвета, т. кип. 210-212 °С, плохо раств. в воде. Является сильным средством для наркоза кратковременного действия (4-5 мин). В организме быстро гидролизуется (с расщеплением сложноэфир-ной связи). Кетамин (калипсол, кеталар; III)-мол. м. 274,196, бесцв. кристаллы, раств. в воде. Обладает гипнотич. эффектом вследствие избират. активации разл. подкорковых образований. Служит анестезирующим ср-вом непродол-жит. действия (15-20 мин).

Во время наркоза используют ряд др. фармакология, в-в, напр. анальгетические средства, ганглиоблокирующие средства и сердечно-сосудистые ср-ва, способствующие сохранению ф-ций организма на определенном уровне. Для общего обезболивания применяют нейролептические средства в сочетании с анальгетическими (фентанил, промедол). Этот комбинир. метод, наз. нейролептанальгезией, иногда сочетают с др. способами общего обезболиваний и местной анестезией.
Применение средств для наркоза облегчает проведение хирургич. операций, сокращает их длительность, расширяет возможности хирургич. лечения, снижает степень риска для больного.
Лит.: Машковский М. Д., Лекарственные средства, 11 изд., т. 1, М., 1988.
А. В. Мещеряков, А. А. Бунятяи.