Спинового зонда метод
СПИНОВОГО ЗОНДА МЕТОД (метод парамагнитного зонда), метод исследования мол. подвижности и разл. структурных превращений в конденсир. средах по спектрам электронного парамагнитного резонанса (ЭПР) стабильных радикалов (зондов), добавленных к исследуемому в-ву. Если стабильные радикалы химически связаны с частицами исследуемой среды, их называют метками и говорят о методе спиновых (или парамагнитных) меток. В качестве зондов и Меток используют гл. обр. нитроксильные радикалы, к-рые устойчивы в широком интервале т-р (до 100-200 СС), способны вступать в хим. р-ции без потери парамагнитных св-в, хорошо растворимы в водных и орг. средах. Наиб. часто применяют радикалы ф-лы I.

Высокая чувствительность метода ЭПР позволяет вводить зонды (в жидком или парообразном состоянии) в малых кол-вах-от 0,001 до 0,01% по массе, что не вызывает изменения св-в исследуемых объектов. Метки вводят, как правило, в макромол. системы (полимеры, биополимеры), для чего существуют разнообразные способы. Ниже перечислены наиб. простые и доступные из них.
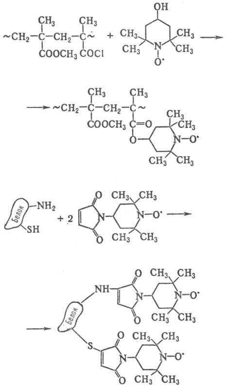
1) Химическая "прививка" нитроксильного радикала к макромолекулам с реакционноспособными группами, как, напр., при получении спин-меченых полиметилметакрилата и белка:

2) Образование спин-меченых макромолекул полимеризацией или поликонденсацией в присут. мономеров, содержащих нитроксильную группу или фрагмент, способный при дальнейшей обработке давать нитроксильную группу.
3) Р-ции макромолекул с бирадикалами и спиновыми ловушками (соед., образующие стабильные радикалы при взаимод. с активными радикалами). В полимер вводят бирадикал и подвергают фотолизу, радиолизу или механо-деструкции. С образующимися в полимере активными центрами бирадикалы могут связываться только одним из парамагнитных фрагментов (при сохранении второго). Спиновая ловушка в этих же условиях образует с активными центрами полимера стабильный радикал, как, напр., при взаимод. фенил-трет-бутилнитрона с макрорадикалом полиэтилена, полученным радиолизом:

В биологии широко применяют методику специфич. встраивания (интеркаляции) в нужные участки макромолекул нитроксильного радикала с предварительно введенными в него хим. группами, имеющими сродство к исследуемым макромолекулам.
Спектры ЭПР нитроксильных радикалов в разб. р-рах представляют собой три линии (см. рис.), возникающие вследствие взаимод. неспаренного электрона с ядром 14N. Соотношение ширин и интенсивностей линий в спектре, а также расстояние между ними зависят от интенсивности вращат. движения радикала, к-рая, в свою очередь, определяется подвижностью окружающих частиц среды. Интенсивность вращат. движения характеризуют временем корреляции т (период малоамплитудной переориентации), частотой вращения v = 1/т или коэф. вращат. диффузии

Спектры ЭПР нитроксильных радикалов в вязких средах при временах корреляции вращения 5·10-10 с (a), 2·10-9 с (б) и 1·10-7 с (в).
При использовании спектроскопии ЭПР в трехсантиметровом диапазоне длин волн можно определять времена релаксации от 5·10 -11 до 10-7 с. Этот интервал подразделяют на области "быстрых" (5·10-11 — 3·10-9с) и "медленных" (10 -9 — 10 -7 с) вращении. Формы спектров и способы их обработки в разных областях различны. Для расчета т (в с) в области "быстрых" вращений обычно используют соотношение:

где DH(+1)-ширина спектральной линии в слабом поле, I(+1) и I(-1)- интенсивности линий в слабом и сильном полях соответственно. Определение т в области "медленных" вращений более сложно. Оценить его можно, в частности, сопоставлением экспериментальных и теоретически рассчитанных спектров ЭПР. Использование др. радиоспектроско-пич. методов (напр., спектроскопии ЭПР в двухмиллиметровом диапазоне, электронного спинового эха, ЯМР) позволяет расширить диапазон времен корреляции до интервала 10-12 - 10-3 c.
Определение трансляционной (постулат.) подвижности зондов основано на зависимости ширины линий ЭПР от концентрации радикалов, что обусловлено межмол. взаимодействием. Используют также обычные методы определения коэф. поступат. диффузии.
Метод спиновых зондов и меток применяется особенно широко для исследования синтетич. полимеров и биол. объектов. При этом можно изучать общие закономерности динамики низкомол. частиц в полимерах, когда спиновые зонды моделируют поведение разл. добавок (пластификаторы, красители, стабилизаторы, инициаторы); получать информацию об изменении мол. подвижности при хим. модификации и структурно-физ. превращениях (старение, структурирование, пластификация, деформация); исследовать бинарные и многокомпонентные системы (сополимеры, наполненные и пластифицир. полимеры, композиты); изучать р-ры полимеров, в частности влияние р-рителя и т-ры на их поведение; определять вращат. подвижность ферментов, структуру и пространств. расположение групп в активном центре фермента, конформацию белка при разл. воздействиях, скорость ферментативного катализа; изучать мембранные препараты (напр., определять микровязкость и степень упорядоченности липидов в мембране, исследовать липид-белковые взаимод., слияние мембран); изучать жид-кокристаллич. системы (степень упорядоченности в расположении молекул, фазовые переходы), ДНК, РНК, поли-нуклеотиды (структурные превращения под влиянием т-ры и среды, взаимод. ДНК с лигандами и интеркалирующими соединениями). Метод используют также в разл. областях медицины для исследования механизма действия лек. препаратов, анализа изменений в клетках и тканях при разл. заболеваниях, определении низких концентраций токсичных и биологически активных в-в в организме, изучения механизмов действия вирусов.
Лит.: Атлас спектров электронного парамагнитного резонанса спиновых меток и зондов, М., 1977; Кузнецов А. Н., Метод спинового зонда, М., 1976; Метод спиновых меток. Теория и применение, под ред. Л. Берлинера, пер. с англ., М., 1979; Ажипа Я.И., Медико-биологические аспекты применения метода электронного парамагнитного резонанса, М., 1983; Вассерман A.M., Коварский А. Л., Спиновые метки и зонды в физикохимии полимеров, М., 1986. А. Л. Коварский, E. М. Миль.