Сорбитали
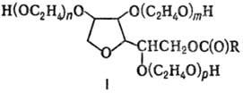
СОРБИТАЛИ (твины), техн. продукты взаимод. сорбитанов с этиленоксидом.Наиб. важны соед. ф-лы I, где R-алкил или алкенил С11 -С17, n + т + p = 5 или 20. Неионогенные ПАВ. Раств. в воде, этаноле, бензоле, толуоле, диоксане, СНС13, не раств. в петролейном эфире, минер. маслах. Критич. концентрация мицеллообразования (ККМ) 0,04-0,1 г/л; гидрофильно-липофильный баланс (ГЛБ) 14-17. Наиб. применение находят сорбитали на основе лауриновой, стеариновой, пальмитиновой и олеиновой к-т.

Синтез сорбиталей осуществляют при 130-140°С в присут. щелочных катализаторов (NaOH, CH3ONa).
Техн. продукты различают по входящей в молекулу к-те и степени оксиэтилирования (см. табл.). Поверхностная активность сорбиталей в водных р-рах падает в ряду: сорбиталь О-20 > сорбиталь П-20 > сорбиталь Л-20. Для последнего продукта поверхностное натяжение водного р-ра с концентрацией 0,2 моль/л на границе с воздухом и касторовым маслом составляет соотв. 33,8·10-3 и 4,3·10-3 Н/м.
Осн. пром. продукты: сорбиталь О-20 (твин-80)-сор-битанполиоксиэтиленмоноолеат, маслянистая светло-желтая жидкость, содержание осн. в-ва 98%,
1,06-1,10, h 0,24-0,26 Па·с, т. всп. 317°С, т. воспл. 340 °С; сорбиталь С-20 (твин-60) - сорбитанполиоксиэтиленмоностеа-рат, маслянистая желтая жидкость, содержание осн. в-ва 96%, т.пл. 22-25 °С, т. всп. 332 °С, т. воспл. 345 °C.
Сорбитали-основа фармацевтич. мазей, свечей, лосьонов; солю-билизаторы масел, витаминов, разл. лек. препаратов и косметич. ср-в; стабилизаторы эмульсий и суспензий; добавки к р-рителям для создания быстровысыхающих пов-стей; эмульгаторы типа масло/вода в косметике и пищ. пром-сти; замасливатели синтетич. и мягчители целлюлозных волокон; пеногасители; антистатики.
Сорбитали малотоксичны; резорбтивным действием не обладают; ЛД50 20-60 мг/кг (кролики, перррально).· Биоразлагаемость ок. 70-80%.
Лит.: Поверхностно-активные вещества. Справочник, под ред. А. А. Абрам-зона и Г.М. Гаевого, Л., 1979; Шенфельд Н., Поверхностно-активные вещества на основе оксида этилена, пер. с нем., М., 1982; Nonionic surfactants, ed. by М.Y. Shick, L.-N.Y., 1967; Wirth W., "Tenside detergents", 1975, Bd 12, H. 5, S. 245-54. С. В. Елецкая.