Пылеулавливание
ПЫЛЕУЛАВЛИВАНИЕ, очистка газов от взвешенных в них мелкодисперсных твердых частиц пыли или дыма (см. Аэрозоли). Производится для защиты от загрязнений атм. воздуха (особенно при выбросе отходящих пром. газов), технол. подготовки газов и извлечения из них ценных продуктов. Пылеулавливание осуществляют с помощью пылеуловителей, встроенных в основное технол. оборудование, а также выносных. Эффективность пылеулавливание определяется, как правило, отношением массы частиц пыли, уловленных (осажденных) в пылеуловителе, к массе частиц пыли на его входе.
В технике пылеулавливания применяют большое число аппаратов, отличающихся конструкцией и принципом осаждения взвешенных частиц. По способу их отделения от потока газа пылеуловители обычно подразделяют на аппараты механической (сухой и мокрой) и электрич. очистки (см. также Газов очистка). Работа любого пылеуловителя основана на использовании одного или неск. механизмов осаждения взвешенных в газах частиц. Вклад каждого определенного механизма осаждения в эффективность работы пылеуловителя можно качественно охарактеризовать соответствующим безразмерным параметром.
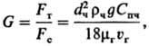
Гравитационное осаждение (седиментация) происходит в результате вертикального оседания частиц под действием силы тяжести при прохождении их через газоочистной аппарат. Параметр гравитац. осаждения G выражается соотношением:

где Fт, Fc-силы тяжести и сопротивления среды (Н); dч, rч-диаметр (м) и плотность (кг/м3) частиц; g-ускорение своб. падения (м/с ); mr, uг-динамич. вязкость (Па·с) и скорость (м/с) газового потока; Спч-поправка Каннингема-Милликена, учитывающая увеличение подвижности частиц, размер к-рых сравним со средней длиной пробега молекул газа. Гравитац. принцип осаждения используется в пыле-осадит. камерах.
Центробежное осаждение происходит при криволинейном движении аэродисперсного потока, когда развиваются центробежные силы, под действием к-рых частицы отбрасываются на пов-сть осаждения. Параметр центробежного осаждения w характеризуется отношением центробежной силы Fц, воздействующей на частицу, к силе сопротивления среды:

где uw, r-скорость (м/с) и радиус вращения (м) газового потока. Центробежное осаждение применяется в одиночных, групповых и батарейных циклонах, вихревых аппаратах, динамич. скрубберах.
Инерционное осаждение происходит, если масса частиц или их скорость движения настолько значительны, что они не могут следовать вместе с газом по линии тока, огибающей препятствие, а, стремясь по инерции продолжить движение, сталкиваются с препятствием и осаждаются на нем. Параметр инерционного осаждения - критерий Стокса:

где uог- скорость газового потока относительно пов-сти обтекания или препятствия (м/с); l-характерный линейный параметр (м) обтекаемого тела (для сферич. капли-диаметр шара, для волокна-диаметр цилиндра). Инерционное осаждение определяет работу большинства мокрых пылеуловителей (скрубберов), а также играет важную роль в фильтрах.
Зацепление (эффект касания) наблюдается, когда расстояние от частицы, движущейся с газовым потоком, до обтекаемого тела равно ее радиусу или меньше его. Эффект зацепления характеризуется параметром R3 — dч/l и имеет существ. значение при очистке газов в фильтрах.
Диффузионное осаждение происходит в результате непрерывного воздействия на мелкие взвешенные частицы молекул газа, находящихся в броуновском движении. Параметр диффузионного осаждения Doc-величина, обратная критерию Пекле: Doc = Ре-1 = uгl/D4, где D4-коэф. броуновской диффузии частиц (м2/с). При справедливости закона Стокса, когда размер частиц больше среднего пути пробега молекул, имеем;

где k- постоянная Больцмана; Тг-т-ра газов (K). Диффузионное осаждение подобно эффекту зацепления используется в осн. в фильтрах. Эти механизмы осаждения преобладают при обеспечении путем фильтрации особо высокой степени очистки газов, напр. при создании стерильных условий работы в цехах расфасовки антибиотиков.
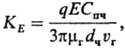
Электрическое осаждение. При ионизации молекул газов электрич. разрядом содержащиеся в газах частицы заряжаются, а затем осаждаются на электродах. Параметр осаждения за счет действия электрич. сил характеризуется соотношением:

где q-заряд частицы (Кл); E-напряженность электрич. поля коронного разряда (В/м). На этом методе осаждения частиц основана работа электрофильтров.
Электрич. осаждение возможно и при взаимод. частиц с каплями (пузырями), причем электрич. заряды м. б. подведены к частицам, орошающей жидкости или, что наиб. эффективно, одновременно к частицам и жидкости. Электрич. осаждение происходит также при прохождении аэрозоля через фильтрующие перегородки; в этом случае заряды могут подводиться как к частицам, так и к фильтровальному материалу.
Помимо указанных выше осн. механизмов осаждения, имеется и ряд других: термо- и диффузиофорез, воздействие магн. поля, турбулентности газового потока и др. Однако они не получили пока распространения в пром-сти.
Выбор пылеуловителя обусловлен физ.-хим. св-вами частиц и очищаемых газов, но определяющим служит дисперсный состав (размер) улавливаемых частиц. При коагуляции первичные частицы объединяются в агломераты, т. е. укрупняются. Поэтому в технике пылеулавливания важную роль играет т. наз. стоксовский размер - диаметр сферич. частицы, имеющей такую же скорость осаждения, как и данная несферич. частица или агрегат. Размер частиц нек-рых аэрозолей и аппараты, используемые для их улавливания, приведены на рис., а в табл. (с. 147)-сравнительные характеристики разл. пылеуловителей с учетом влияния на их эффективность физ. параметров аэрозолей. Эти данные м. б. полезны при выборе аппаратов для пылеулавливания.
Виды взвешенных частиц и аппараты для их улавливания.
Совр. системы пылеулавливания-относительно сложные сооружения, состоящие из комплекса собственно газоочистных и вспомо-гат. аппаратов. Поскольку объемные расходы очищаемых газов часто достигают сотен тыс. и даже млн. м3/ч, стоимость таких систем может оказаться достаточно высокой.
Пылеулавливание осуществляют при измельчении, классификации и сушке твердых материалов, обработке их в псевдоожиженном слое, сжигании твердого топлива (очистка дымовых газов), сублимации, обжиге, пневмотранспорте, а также в системах кондиционирования и др.
Лит.: Очистка промышленных газов от пыли, М., 1981; Страус В., Промышленная очистка газов, пер. с англ., М., 1981; Справочник по пыле- и золоулавливанию, под ред. А. А. Русанова, М., 1983. А.Ю. Вальдберг.