Циклодол

Синонимы:
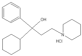
1-циклогексил-1-фенил-3-(1-пиперидинил)пропанола гидрохлоридпаркопан
ромпаркин
тригексифенидил
Внешний вид:
бел. кристаллыБрутто-формула (система Хилла): C20H32ClNO
CAS №: 144-11-6
Температура плавления (в °C): 243
Растворимость (в г/100 г или характеристика):
вода: мало растворимэтанол: медленно растворим
Применение:
Лекарственное средство. Противосудорожное при паркинсонизме.
- "Регистр лекарственных средств России: Энциклопедия лекарств" 8-е изд., М., 2001 стр. 889
- "Справочник химика" т.6, Л..: Химия, 1967 стр. 968-969
Источники информации:
Синонимы/примеры:*
Тригексифенидил; Паркопан; Паркинсан; Артан
*подобраны ИИ, возможны неточности
Ещё по теме
Циклодол — применение и побочные эффекты
Пиразидол — свойства и применение антидепрессанта
Циклопентан — свойства и применение
Зопиклон — инструкция по применению и особенности препарата
Зопиклон — инструкция по применению и особенности препарата
Циклопентен — характеристики и применение
Альфа-Циклогексил-альфа-фенил-1-пиперидинопропанола гидрохлорид
Пиразидол — особенности и применение
Пиразидол
Зопиклон — применение, побочные эффекты и противопоказания
Циклометиазид — свойства и применение
Циклофосфан — описание и применение препарата
Циклосерин — свойства и применение антибиотика
Пикамилон — свойства и применение
Зептол — инструкция по применению и побочные эффекты