Плазмида
ПЛАЗМИДА, внехромосомный самовоспроизводящийся генетич. элемент (фактор наследственности) бактерий и нек-рых др. организмов. Представляет собой кольцевую двухцепочечную молекулу ДНК, закрученную в суперспираль (см. Нуклеиновые кислоты). Размеры плазмид необычайно широко варьируют-от 2 тыс. до неск. сотен тысяч пар оснований; нек-рые из них содержат 1-3 гена, другие достигают 10-20% размера бактериальной хромосомы.
Нек-рые плазмиды, наз. эписомами, обладают способностью существовать в двух состояниях - автономном и интегрированном. В автономном состоянии эписома не является частью бактериальной хромосомы и реплицируется (самовоспроизводится) независимо, хотя и синхронно с ней. В интегрир. состоянии она реплицируется в составе хромосомы. Способность обратимо включаться в состав хромосомы часто сопряжена с наличием в эписомах мигрирующих генетических элементов.
Большинство плазмид может передаваться от одной бактерии к другой при конъюгации клеток (трансмиссибельные плазмиды). Такие плазмиды способны провоцировать конъюгацию между бактериями и тем самым обеспечивают собственную миграцию от клетки к клетке и распространение среди бактерий. Нетрансмиссибельные плазмиды передаются благодаря конъюга-тивным плазмидам-помощникам. Во мн. случаях для переноса плазмид между клетками необязательна конъюгация последних. Так, мелкие плазмиды могут передаваться в виде коинте-гратов с бактериофагами (вирусами микробов).
Число копий плазмид в клетке зависит от их генетич. особенностей. Плазмиды, находящиеся под "ослабленным контролем", могут реплицироваться до тех пор, пока каждая клетка не будет содержать в среднем от 10 до 200 копий. Плазмиды, находящиеся под "строгим контролем", реплицируются примерно с той же скоростью, что и хромосома, и содержатся в клетке в виде одной или неск. копий. В обоих случаях благодаря контролируемой репликации число плазмид в клетке поддерживается постоянным в ряду поколений.
Помимо ряда общих ф-ций, свойственных очень многим плазмидам (таких, как автономная репликация или ф-ция переноса), существует множество спец. ф-ций, детерминируемых той или иной плазмидой. У бактерий наиб. изучены три главные группы плазмид: F-плазмиды (факторы фертильности) ответственны за половой процесс, R-плазмиды (факторы резистентности) обеспечивают устойчивость бактериальных клеток к действию антибиотиков (напр., к стрептомицину и тетрациклину) и сульфаниламидным препаратам, в Col-плазмидах (колициногенных факторах) локализованы гены синтеза колицинов (бактерио-цинов) - токсичных белков, к-рые не действуют на производящую их клетку, но убивают др. бактерии.
Обусловленная плазмидами устойчивость бактерий к антибиотикам основана на разных механизмах, но чаще всего-на инактивации последних ферментами (напр., b-лактамазы), кодируемых плазмидами, или на избират. изменении проницаемости клеточной оболочки.
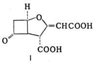
Среди плазмид, обеспечивающих устойчивость бактерий к антибиотикам, осн. массу составляют т. наз. факторы множеств, резистентности, несущие сразу неск. соответствующих детерминант. С помощью трансмиссибельных плазмид детерминанты резистентности легко могут распространяться между видами, способными к конъюгации. На такие плазмиды гены резистентности могут передаваться с помощью транспо-зонов. Кроме детерминант лек. резистентности из числа функцией, элементов плазмид хорошо изучены гены нек-рых бактериальных токсинов, напр. энтеротоксинов, вырабатываемых возбудителями кишечных инфекций, носителями т. наз. Тох-плазмидами (факторов патогенности энтеробактерий). Показана способность Тох-плазмид передаваться между бактериями в организме животных и человека. На этих плазмидах могут находиться также детерминанты резистентности к антибиотикам. В этой связи активно развивается новое направление в практич. бактериологии - поиск и создание в-в, избирательно подавляющих репликацию плазмид или экспрессию их генов. Пример таких в-в - клавулановая к-та (ф-ла I) и ее производные - ингибиторы b-лактамазы.

Плазмиды не являются неотъемлемой составной частью бактериальной клетки, однако их наличие расширяет ее генетич. возможности. Плазмиды позволяют бактериям получать энергию необычными способами, напр. окислением водорода или метана. Плазмиды играют важную роль в эволюции бактерий, особенно в их быстрой адаптации к меняющимся факторам среды.
Плазмида с ослабленным контролем репликации широко применяется в качестве векторных молекул в генетической инженерии для решения биотехнол. задач.
Лит.: Мейнелл Г., Бактериальные плазмиды, пер. с англ., M., 1976; Страйер Л., Биохимия, пер. с англ., т. 3, M., 1985, с. 201-206; Плазмиды. Методы, под. ред. К. Харди, пер. с англ., M., 1990. П. Л. Иванов.