Тетрациклины
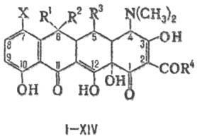
ТЕТРАЦИКЛИНЫ, группа антибиотиков, включающая тетрациклин (ф-ла I) и его производные. Исторически первый представитель-хлортетрациклин (II)-был выделен в 1945 из культуральной жидкости Streptoroyces aureofaciens. В дальнейшем активные антибиотики стали выделять из Streptomyces rimosus (природные тетрациклина). Хим. модификацией этих в-в получают т. наз. полусинтетические тетрациклины. В таблице перечислены наиб. важные представители тетрациклинов. Как правило, это желтые кристаллич. в-ва, обладающие амфотерными св-вами. При взаимодействии тетрациклинов с катионами многовалентных металлов (Са, Mg, Fe, Al и др.), борной к-той, солями a-гидроксикарбоновых к-т (напр., глюконовой, яблочной, лимонной) получаются нерастворимые в воде комплексные соединения. Тетрациклины хорошо раств. в этиленгликоле, пиридине, к-тах и щелочах, значительно хуже-в орг. р-рителях, плохо раств. в воде. В водный р-рах тетрациклины неустойчивы, т. к. легко (особенно в щел. среде) гидролизуются по связям C-11-C-11a, а затем С-12-С-12а.
Тетрациклины-антибиотики широкого спектра действия. Они активны в отношении грамположит. и грамотрицат. бактерий. Механизм антибактериального действия тетрациклинов основан на подавлении ими биосинтеза белка микробной клетки.
Св-ва ряда тетрациклинов, произ-ва к-рых являются многотоннажными, описаны ниже более подробно.
Хлортетрациклин (II)-золотистые кристаллы; раств. в воде (0,5-0,6 мг/мл при 25 °С), хорошо раств. в диоксане, пиридине, плохо-в метаноле, этаноле, бутаноле, ацетоне. Наиб. распространен гидрохлорид хдортетрациклива- золотисто-желтые кристаллы горького вкуса, т. пл. 234-236 °С (с разл.);
— 240 ° (этанол), раств. в воде (8,6 мг/мл; рН насыщ. р-ра 2,7-2,9). Из-за сильного побочного действия снят с применения в медицине и используется для получения полусинтетических тетрациклинов.
Тетрациклин (I) выпускают в виде основания и гидрохлорида. Последний имеет т.пл. 214°С (с разл.), не меняет активность в течение двух и более лет. В р-рах I малоустойчив: в 0,2 н. р-ре Na2HPO4 (рН 8,85) при комнатной т-ре теряет 50% активности через 12 ч. При рН 3-5 сохраняется неизменным в течение 6 суток. Активность I уменьшается в присут. ионов Mg, Ca, Fe.
Окситетрациклин (III)-аморфное в-во винно-желтого цвета, плохо раств. в воде при рН 4-6, лучше (до 3-4%)-при рН 1,2 или 9,0; хорошо раств. в этаноле, метаноле, пропиленгликоле, ацетоне, не раств. в диэтиловом и петро-лейнсм эфирах. Гидрохлорид окситетрациклтана-желтые кристаллы горьковатого вкуса, т. пл. 204 °С, хорошо раств. r воде, этаноле, ацетоне, плохо раств. в хлороформе, бензоле, диэтиловом эфире. В сухом виде III устойчив. При 5 °С его водные р-ры с рН от 1 до 9,8 сохраняют исходную активность в течение месяца. Стабильность водных р-ров ПI значительно снижается в присут. ионов меди и щелочных металлов.
Метациклин (XII)-желтый кристаллич. порошок. Его гидрохлорид раств. в воде, плохо-в этаноле и др. орг. р-рителях. Стабилен в кристаллич. состоянии; устойчивость его в водных р-рах практически такая же, как у II и III. По сравнению с др. антибиотиками этой группы XII хорошо всасывается при приеме внутрь и длительно сохраняет терапевтич. концентрации в крови.

Миноциклин (XIП) применяют в виде моногидрохлорида (желтый с оранжевым оттенком аморфный порошок) или дигидрохлорида (желтый кристаллич. порошок, хорошо раств. в воде). В первые дни после начала применения этого тетрациклина часто (в 80-90% случаев) появляются вестибулярные расстройства.
Доксициклин (XIV) получают в виде гидрохлорида, к-рый представляет собой светло-желтые кристаллы. В водных р-рах XIV превосходит по стабильности III и особенно I. Доксициклин находит все более широкое применение.
Лит.: Химия антибиотиков, 3 изд., т. 1, М., 1961, с. 180-268; Наза-шин С.М., Фомина И. П., Рациональная антибиотикотерапия, 4 изд., М., 1982, с. 183-208. С. Е. Есипов.