Пиретрины
ПИРЕТРИНЫ, прир. инсектициды, содержащиеся в цветках многолетних трав родов Pyrethrum (Chrysanthemum, Таnа-cetum), в особенности ромашки далматской (P. cmerariifo-lium, или Tanacetum cinerariifolium), культивируемой гл. обр. в Кении, Руанде, Танзании и Эквадоре. Оптически активные высококипящие жидкости, раств. в большинстве орг. р-рителей, практически не раств. в воде; легко окисляются на воздухе, особенно на свету, гидролизуются щелочами.
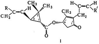
По хим. природе пиретрины-сложные эфиры общей ф-лы I:

В состав прир. смеси входят эфиры (+ )-транс-хризантемо-вой к-ты и циклич. кетоспиртов (пиретролона, цинеролона, жасмолона)-пиретрин I, цинерин I, жасмолин I (в ф-ле R = CH3, R' = CH=CH2, CH3, C2H5) и эфиры ( + )-транс-пиретриновой к-ты и тех же кетоспиртов - пиретрин II, цинерин II, жасмолин II [R = CH3OC(O); R' = CH=CH2, CH3, C2H5]. Пиретрины I и II составляют ок. 70%, цине-рины I и II-19-24%, жасмолины I и II-7-9%. Однако соотношение этих в-в может меняться в зависимости от сорта ромашки, условий ее выращивания и сбора.
Все пиретрины, образующиеся в растениях, имеют (1R, 3R, 4'S)-конфигурацию; расположение групп R и R'-соотв. E и Z.
Пиретрины-инсектициды контактного действия. Наиб. сильный-пиретрин I, к-рый быстро всасывается в организм насекомого и поражает нервную систему, нарушая процесс передачи нервных импульсов по аксонам. Его действие дополняет пиретрин II , вызывающий почти мгновенный паралич насекомых ("нокдаун"). Активность пиретринов возрастает в неск. раз при добавлении к ним синергистов, напр. пиперонил-бутоксида (ф-ла II) (в кол-ве 2-10 весовых частей на 1 весовую часть пиретринов).

Для выделения пиретринов размолотые сухие цветки экстрагируют гексаном (либо дихлорэтаном, керосином и т. п.), отгоняют р-ритель и полученный 30%-ный концентрат для очистки экстрагируют метанолом с послед. обработкой активир. углем. Используя комбинации из несмешивающихся р-рителей (полярного и неполярного), напр. метанол - керосин, петролейный ,эфир - ацетонитрил или нитрометан, совмещают экстракцию и очистку, получая 50-90%-ный концентрат, к-рый разбавляют маслами до стандартной товарной концентрации (20 или 25%).
Из-за склонности к фотоокислению пиретрины непригодны для применения в полевых условиях; их используют обычно в жилых помещениях и в пищ. пром-сти, иногда в животноводстве. Для теплокровных животных пиретрины сравнительно малотоксичны (ЛД50 570-1500 мг/кг).
Применяют пиретрины гл. обр. в аэрозольной упаковке, в смеси с синергистами, иногда с добавкой антиоксидантов или в комбинации с др. инсектицидами; используют также эмуль-гирующиеся концентраты, микрокапсулир. препараты и содержащие пиретрины противомоскитные тлеющие спирали.
Пиретрины в виде пиретрума (порошка растертых цветков) применяют с древних времен; в Европу он завезен в нач. 19 в. с Кавказа. Мировое произ-во пиретринов (в виде сухих цветков со средним содержанием пиретринов 1,3%) в связи с ростом произ-ва синтетич. пиретроидов снизилось с 23 000 т (1975) до 10 000 т (1984).
Лит.: Pyrethrum: the natural insectide, ed. by J.E. Casida, N.Y.-I... 1973; Casida J. E., "Environmental Health Perspectives", 1980, v. 34, p. 189-202.
Г. С. Швиндлерман.