Осмос
ОСМОС (от греч.
-толчок, давление), самопроизвольный перенос в-ва через полупроницаемую мембрану, разделяющую два р-ра разл. концентрации или чистый р-ритель и р-р. Наиб. часто происходит переход р-рителя через полупроницаемую мембрану, не пропускающую растворенное в-во. Самопроизвольный массоперенос возникает в результате того, что хим. потенциал р-рителя уменьшается при увеличении концентрации растворенного в-ва.
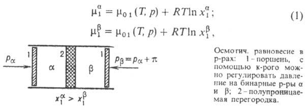
Рассмотрим два объема
и
бинарного р-ра (см. рис.), разделенных полупроницаемой перегородкой, пропускающей молекулы р-рителя (компонент 1) и не пропускающей молекулы растворенного в-ва (компонент 2). Если т-ра T и давление р по обе стороны перегородки одинаковы (Т
= Т
,
), а молярные доли различны (
), то
(Т, р,
) >
(Т, р,
). Для идеальных или сильно разбавленных реальных р-ров, где
-хим. потенциал чистого р-рителя, R-газовая постоянная. При
система термодинамически неравновесна и, следовательно, имеет место переход компонента 1 из объема
в объем
до тех пор, пока его молярные доли в обоих объемах не станут одинаковыми. Для того чтобы предотвратить массоперенос и выравнивание концентраций и сохранить первонач. состав обоих р-ров, необходимо выравнить хим. потенциалы компонента 1 по обе стороны перегородки изменением внеш. условий (т-ры, давления, внеш. электрич. поля, если речь идет о р-рах электролитов). В изотермич. условиях для сохранения состава фаз необходимо изменить давление на один из р-ров. Из термодинамики известно, что

где
-парциальный молярный объем р-рителя. Для идеальных или предельно разбавленных реальных р-ров
, где
-молярный объем чистого р-рителя. Знак производной положительный и при увеличении давления, приложенного к р-ру
, хим. потенциал р-рителя будет возрастать. Дополнит. давление
, к-рое надо приложить к р-ру
для того, чтобы предотвратить поступление в него р-рителя через полупроницаемую мембрану из р-ра
, наз. осмотич. давлением. При давлении
система находится в термодинамически равновесном состоянии:

Если
, равновесие нарушается и имеет место перенос р-рителя из более концентрир. р-ра в менее концентрированный. Это явление получило назв. обратного осмоса; оно находит широкое практич. применение в мембранных процессах разделения в-в.
Для идеальных р-ров зависимость осмотич. давления от состава выражается ур-нием:

где
-парциальные давления р-рителя в фазах
и
. Если фаза
представляет собой чистый р-ритель, т.е.
, то
; ур-ние принимает вид, известный как ур-ние Ван Лаара:

Из него следует, что осмотич. давление р-ра пропорционально ln x1. Этой же величине пропорциональны понижение т-ры замерзания и повышение т-ры кипения идеальных р-ров (см. Рауля закон), что свидетельствует о связи этих явлений с осмосом.
Если концентрация растворенного в-ва мила, зависимость осмотич. давления от его молярной концентрации с2 выражается ур-нием Вант-Гоффа:

Это ур-ние обычно используют для расчета осмотич. давления бинарных р-ров недиссоциирующих в-в. Однако лучшее совпадение расчетных значений с экспериментальными в широкой концентрац. области дает ур-ние Ван Лаара (см. табл.). О методах и технике измерения осмотич. давления см. Осмометрия.
ОСМОТИЧЕСКОЕ ДАВЛЕНИЕ ВОДНЫХ РАСТВОРОВ САХАРОЗЫ ПРИ 30 °С
| Концентрация, моль/л | Осмотич. давление, МПа | ||||
| Эксперим. данные | Расчет по ур-иию Ван Лаара | Расчет по ур-нню Вант-Гоффа | |||
| 0,10 | 0,25 | 0,25 | 0,24 | ||
| 1.00 | 2,76 | 2,78 | 2,27 | ||
| 2,00 | 5,91 | 5,93 | 3,55 | ||
| 3,00 | 8,63 | 8,73 | 4,57 | ||
| 4,00 | 14,07 | 14,03 | 6,05 | ||
| 5,00 | 18,97 | 18,54 | 6,53 | ||
Для разб. р-ров электролитов ур-ние Вант-Гоффа имеет вид:

где i= 1 + a'(v — 1) (a'-степень диссоциации электролита, v-число ионов, на к-рые распадается молекула электролита). В случае сильных электролитов, полностью диссоциирующих на ионы, при высоких разбавлениях
= vc2RT, для р-ра произвольной концентрации
= vФc2RT, где Ф-практич. осмотич. коэффициент. Он непосредственно связан с коэф. активности
растворенного в-ва и моляль-ностью m р-ра электролита соотношением Бьеррума:

В интегральной форме соотношение (8) принимает вид:

Это соотношение используют для расчета Ф по данным о
; можно рассчитать Ф и по значениям
.
Наиб. существ. черта всех осмотич. процессов - увеличение объема р-ра. Оно всегда имеет место, если молекулы растворенного в-ва не могут выйти из р-ра, а р-ритель способен проникать в р-р. Это условие можно выполнить даже при отсутствии видимой полупроницаемой перегородки. Напр., если фазы
и
содержат нелетучий компонент и не разделены перегородкой, а находятся под одним колпаком, из-под к-рого откачан воздух, то за счет разности давлений насыщ. пара произойдет "перекачка" р-рителя из р-ра
в р-р
. Такой процесс получил назв. изотермич. перегонки. Др. примером типичного проявления осмоса без наличия полупроницаемой перегородки является набухание в системах полимер-р-ритель.
Осмос в природе. Животные и растит. клетки представляют собой микроскопич. осмотич. системы, поскольку у клетки оболочка или прилегающая к ней плазмолемма обладают св-вами полупроницаемых мембран. Если поместить клетки в дистиллированную воду, происходит набухание, а затем разрыв оболочек (осмотич. шок, или лизис). В р-рах с высокой концентрацией солей наблюдается падение осмотич. давления и коллапс клеток из-за потери воды (плазмолиз). Это явление используют, напр., при консервировании пищ. продуктов путем добавления больших кол-в соли или сахара: микроорганизмы подвергаются плазмолизу и становятся нежизнедеятельными.
Р-ры с одинаковым значением осмотич. давления наз. изотоническими. Р-ры с осмотич. давлением, большим, чем у внутриклеточной жидкости, наз. гипертоническими, меньшим-гипотоническими. Один и тот же р-р для одного типа клеток м. б. гипертоническим, для другого-изотоническим, для третьего-гипотоническим.
В тканях растений осмотич. давление составляет 0,5-2 МПа (у растений в пустынях - более 10 МПа). Гидро-статич. давление, возникшее во внутриклеточных структурах в результате осмоса, наз. тургором. Это давление придает прочность и упругость тканям живых организмов. Если клетка отмирает, оболочка теряет св-во полупроницаемости, тургор исчезает (растение вянет). Осмотич. давление-главная причина, обеспечивающая движение воды в растениях и ее подъем от корней до вершины. Клетки листьев, теряя воду, осмотически всасывают ее из клеток стебля, а последний-из клеток корня, берущих, в свою очередь, воду из почвы. Для роста и развития растений важно соотношение между осмотич. давлением почвенного р-ра и клеточного сока. Растение может нормально развиваться лишь тогда, когда осмотич. давление клеточного сока больше осмотич. давления почвенного р-ра.
Высокоорганизованные животные и человек отличаются постоянным значением осмотич. давления, напр. в крови человека
= 0,78 МПа (7,7 атм) при 37 °С. Даже небольшие изменения осмотич. давления вызывают чувство дискомфорта. Так, чувство жажды обусловлено потребностью организма восстановить нормальное осмотич. давление введением воды, после того как оно было повышено, напр. употреблением соленой пищи. При болезненных явлениях локальные изменения осмотич. давления м. б. значительными. Напр., при воспалит. процессах происходит распад белков, что приводит к увеличению кол-ва структурных частиц в очаге воспаления, повышению осмотич. давления и локальному оттоку воды из окружающих тканей. Так возникают отеки.
В медицине обычно используют изотонич. р-ры, но иногда применяют и гипертонические. Так, в хирургии гипертонич. повязками покрывают раны: гипертонич. повязка оттягивает на себя жидкость и очищает рану от микроорганизмов, продуктов распада и т.д.
Лит.: Горшков В. И., Кузнецов И. А., Физическая химия, М., 1986; Дуров В. А., Агеев Е.П., Термодинамическая теория растворов неэлектролитов, М., 1987. См. также лит. при ст. Мембранные процессы разделения.
Е. П. Агеев.