Нафтены
НАФТЕНЫ, содержащиеся в нефти насыщ. алициклич. углеводороды ряда циклопентана и циклогексана, а также более сложные би- и полициклич. углеводороды, имеющие от 2 до 5 циклов в молекуле. Нафтены входят в состав всех нефтей и присутствуют во всех нефтяных фракциях. В бензиновых и керосиновых фракциях обнаружено более 80 индивидуальных нафтенов состава С5-С12. В наиб. кол-вах в нефти присутствуют метилциклогексан, циклогексан, метилциклопентан. Моноциклические нафтены, имеющие 2 и более хиральных центра в молекуле, находятся в виде неск. эпимеров с преобладанием термодинамически наиб. устойчивого.
Из бициклических нафтенов в нефти содержатся бициклооктаны, бициклононаны, бицикло[4,4,0]декан, р-каротан (насыщ. р-каротин) и их метилзамещенные.
Трициклич. углеводороды представлены адамантаном и его метил- и этилзамещенными, а также соед., содержащими в цикле 10, 11, 12 и 14 углеродных атомов, напр. соед. ф-л I-III:

Для би- и трициклич. углеводородов, особенно для алкил-замещенных, также характерно наличие неск. эпимеров. Углеводороды со структурой пергидрофенантрена находятся в нефтях в виде гомологии. Серии (разл. длина алифатич. радикала) состава С19-С30.
Из тетрациклических нафтенов в нефти найдены производные адамантана (соед. IV и V) и насыщ. углеводородов стероид-ного и терпеноидного типов, соотв. стеранов (VI, VII) и дитсрпанов (VIII, IX):

Среди стеранов нефтей различают биостераны, имеющие конфигурацию 5a,14a,17a,20R (VI), характерную для исходных биол. молекул, и геостераны с конфигурацией 5a,14b, 17b,20R(или 20S). В нефти присутствуют также перегруппированные стeраны с конфигурацией 10a,13b,17a,20S или 20R (VII).
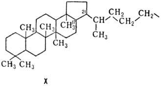
Из пентацикличсских нафтенов, являющихся гл. обр. тритерпе-ноидами, в нефти содержатся углеводороды ряда гопана (X) состава С27-С35 c разл. длиной заместителя у атома С21, а также тритерпаны, имеющие только 30 углеродных атомов, напр. олеанан (XI).

Для нафтенов ряда гопана характерна 17a,21b-конфигурация, в то время как для биогопанов, присутствующих в нефти в незначит. кол-вах, конфигурация 17b,21b. В случае хираль-ности атома С-22 нафтены в нефтях находятся в виде смеси 22S- и 22R-эпимеров.

Выделение и идентификация нафтенов представляет большие трудности. В пром. масштабе из легких бензиновых фракций нефти выделяют циклогексан и метилциклогексан. Идентификация нафтенов позволяет определять степень изменения нефтей в природе, помогает при разведке нефтяных месторождений.
Лит.: Марковников В. В., Избранные труды, М., 1955; Петров Ал. А., Химия нафтенов, М., 1971; его же, Стереохимия насыщенных углеводородов, М., 1981; его же, Углеводороды нефти, М., 1984.
Ал. А. Петров.