Абрамова реакция

АБРАМОВА РЕАКЦИЯ,1001-12.jpgгидроксиалкилирование орг. гидрофосфорильных соед. (в т.ч. тиогидро- и иминогидрофосфорильных) альдегидами и кетонами в присут. оснований (напр., алкоголятов или аминов) или к-т:
1001-13.jpg

где X, Y-обычно R"O, R", R''2N, Н, ОН; R и R"-opг. радикалы; R'-opг. радикал или Н.

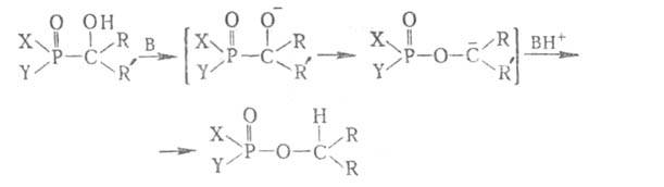
Абрамова реакция осуществляется по механизму нуклеоф. присоединения. При использовании фосфинистых к-т процесс протекает автокаталитически. Легкость протекания р-ции определяется электрофильностью карбонильного соед.; напр., хлораль реагирует с диалкилфосфитами энергично и с саморазогреванием, альдегиды и кетоны, не содержащие в1001-14.jpgположении к карбонильной группе электроноакцепторных заместителей,-медленно. При нагревании в присут. к-т продукты р-ции часто распадаются до исходных в-в, а в присут. оснований (В) претерпевают внутримолекулярную изомеризацию:
1001-15.jpg

Важная модификация Абрамова реакции - взаимод. альдегидов и кетонов с силилфосфитами или силилфосфонитами:
1001-16.jpg

Родственный Абрамова реакции процесс-присоединение к альдегидам и кетонам фосфористой или фосфорноватистой к-ты, приводящее к1001-17.jpgгидроксифосфоновым,1001-18.jpgфосфонистым или1001-19.jpg фосфиновым к-там.

Абрамова реакцию применяют в пром-сти, напр. для синтеза хлорофоса из диметилфосфита и хлораля.

Р-ция открыта А. Е. Арбузовым и М. М. Азоновским в 1947 на примере взаимод. диэтилацетофосфоната с диэтилфосфитом Na, позднее подробно изучалась В. С. Абрамовым.

Литература

Абрамов B.C., в кн.: Химия и применение фосфорорганических соединений, М., 1957, с. 218-22; Пудовик А.Н. [и др.], в кн.: Реакция и методы исследования органических соединений, кн. 19, М., 1968, с. 45-59; ThiemJ. [u.a.], "Chemische Berichte", 1977, Bd 110, № 9, S. 3190-3200; Wroblewski A., Konieczko W,. "Monatshefte fur Chemie", 1984, Bd 115, № 6/7, S. 785-91. Э. Е. Нифаптьев.