Иодное число

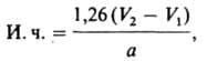
ИОДНОЕ ЧИСЛО, масса иода (в г), присоединяющегося к 100 г орг. в-ва. Характеризует степень ненасыщенности орг. соединений. Для определения иодного числа к р-ру анализируемого в-ва в СНСl3, ССl4 или ледяной СН3СООН приливают р-р Вr2, IВr или ICl; после завершения р-ции прибавляют избыток KI и титруют р-ром Na2S2O3 иод, выделившийся при взаимод. KI с непрореагировавшим Вr2 или др. реагентами. Иодное число рассчитывают по ф-ле:
241_260-10.jpg
где V2 и V1 - объемы (в мл) 0,1 М р-ра Na2S2O3, пошедшие на титрование соотв. в холостом опыте и в опыте с использованием Вr2 или др. реагентов, а - масса навески в-ва (в г). Иодное число для растит. масел 100-200, для твердых жиров 35-85, для жидких жиров 150-200, для ненасыщ. к-т 100-400.
Литература
Черонис Н. Д., Ма Т. С., Микро- и полумикрометоды органического функционального анализа, пер. с англ., М., 1973, с. 342.
С. И. Обтемперанская.

Комментарии*

Дополнения к описанию иодного числа:

  • Современные методы определения включают также использование спектроскопии ЯМР и хроматографии для более точного анализа ненасыщенности
  • Механизм реакции основан на электрофильном присоединении галогенов к двойным связям C=C в ненасыщенных соединениях
  • Применение в промышленности:
    • Контроль качества растительных масел и жиров
    • Определение степени отверждения при производстве лаков и олиф
    • Анализ нефтепродуктов и смазочных материалов
  • Важные особенности:
    • Не реагирует с ароматическими двойными связями
    • Может давать завышенные значения из-за побочных реакций замещения
    • Для точных измерений часто используют метод Видса с йодмонохлоридом
  • Стандартизация: методы определения регламентированы ГОСТ 5475-69 и международными стандартами ISO 3961
*Подобраны с помощью LLM, верифицированы, но возможны неточности.
Синонимы/примеры:* Иод; Йод
*подобраны ИИ, возможны неточности