Изотoпного разбавления метод

ИЗОТOПНОГО РАЗБАВЛЕНИЯ МЕТОД, метод количеств. хим. анализа с использованием радиоактивных или обогащенных стабильных нуклидов в качестве индикаторов. Основан на изменении изотопного состава определяемого элемента в результате разбавления при смешении с анализируемым образцом. Особенность метода - возможность проводить количеств. определения при неполном выделении в-ва. В классич. варианте изотопного разбавления метода определение компонента основано на изменении уд. радиоактивности (S) при разбавлении в ходе анализа. К р-ру, в к-ром содержание тх анализируемого в-ва неизвестно, добавляют известное кол-во mст того же в-ва, меченного радионуклидом с уд. радиоактивностью S1 = A/mст, где А - общая радиоактивность. После перемешивания р-ра и достижения равновесного распределения изотопов между введенным и анализируемым в-вами из р-ра выделяют часть анализируемого в-ва (экстракцией, ионным обменом, осаждением и др.), измеряют его массу m1 (спектрофотометрич., гравиметрич., титриметрич. или др. методами) и радиоактивность A1. При этом его уд. радиоактивность S2 равна уд. радиоактивности в-ва в р-ре после смешения: S2 = A1/m1 = А/(mст + mx). Из ур-ний для S1 и S2 находят mx = mст(S1/S2 — 1) или тх = m1(A/A1) — mст. При использовании радионуклидов без носителя значениями mст можно пренебречь, тогда mx = m1.A/A1. Этот вариант наз. методом радиометрич. корректировки. Предел обнаружения (10-2-10-3%) ограничен пределом измерения массы выделенной доли в-ва соответствующим методом. Применение субстехиометрич. выделения (СВ) позволяет избежать определения массы выделенного соед., проводить определение только по измерению активности и снизить предел обнаружения до 10-5-10-7%. СВ - прием количеств. выделения части определяемого компонента, меченного радионуклидом, путем переведения (обычно на 50-70%) в др. хим. форму добавлением недостаточных, по сравнению со стехиометрией (т.е. субстехиометрических), кол-в реагента. При практич. осуществлении к стандартному и анализируемому р-рам, в к-рые было введено одинаковое кол-во ту радионуклида определяемого компонента, добавляют реагент в равных субстехиометрич. кол-вах. Реагент должен полностью расходоваться на образование соед. с определяемым компонентом, а продукт р-ции легко отделяться от исходного в-ва. Состав соед. должен быть постоянным. Чаще всего продукты р-ции выделяют экстракцией, ионообменной хроматографией, электрофорезом на бумаге и измеряют их активности Aст (стандартный р-р) и Ах (анализируемый р-р). Значения mx рассчитывают по ф-ле: тх = my(Aст/Ax — 1). Определяемое соед. и продукт его взаимод. с реагентом могут находиться в разных или в одной и той же фазе. В последнем случае необходимы дополнит. меры для их разделения. В варианте обратного изотопного разбавления метода к меченному радионуклидом в-ву добавляют нерадиоактивное в-во и рассчитывают тх по той же ф-ле, что в прямом методе. Применяют для анализа смесей радиоактивных в-в. В варианте двойного изотопного разбавления метода к двум аликвотам анализируемого р-ра добавляют известные кол-ва m1 и m2 радионуклида определяемого элемента (m1 m2) и, используя прием СВ, измеряют выделенную активность А1 и А2. Содержание элемента находят по ф-ле:

тх =[m1m2(A2 - A1)]/(m2A1 - т1А2).

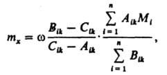
Применяют, когда нет возможности приготовить стандартный р-р с хим. составом, близким к анализируемому. В к-варианте одинаковыми кол-вами радионуклида метят два р-ра: стандартный, содержащий mст определяемого в-ва, и анализируемый, к к-рому добавляют k.mст этого в-ва (1 > k > 0). Используя прием СВ, измеряют активность выделенных частей р-ра Аст и Ах, тогда тх = mст(A/Aх — k). Преимущество этого варианта - меньшее влияние погрешностей радиометрич. измерений на результаты анализа. В т. наз. суб-, суперэквивалентном методе (ССЭМ) используют две серии аликвот анализируемого р-ра. Первая серия р-ров содержит одинаковое кол-во определяемого элемента (x), вторая серия - также одинаковое кол-во определяемого элемента, но большее, чем х, в z раз. К р-рам первой серии последовательно приливают нарастающие кол-ва (у) нерадиоактивного нуклида определяемого элемента. Затем к р-рам первой и второй серий добавляют одинаковое кол-во реагента и измеряют радиоактивности проб (соотв. А в первой серии и А0 во второй серии). Варьируя z, можно построить график зависимости отношения А0/А от у. Точка пересечения двух кривых (изоконцентрац. точка) позволяет определить x. При использовании стабильных изотопов в пробу вводят известное кол-во w трассера (изотопного индикатора) - определяемого элемента с изотопным составом, отличным от природного. Методом масс-спектроскопии измеряют отношения концентраций двух изотопов i и k для трассера Bik, элемента с прир. изотопным составом (Аik) и того же элемента после выделения из смеси (Cik). Кол-во определяемого элемента тх находят по ф-ле:
181_200-56.jpg
где Mi - масса отдельных изотопов, п - полное число изотопов. Метод изотопного разбавления с использованием радиоактивных изотопов предложен Г. Хевеши, Р. Хобби в Германии и независимо от них И. Е. Стариком в СССР в нач. 30-х гг. 20 в.; метод СВ - независимо И. Е. Зимаковым в СССР, Н. Судзуки в Японии, Я. Ружичкой и И. Стары в ЧССР в 1958-61; метод ССЭМ - Ю. Класом, Ю. Тельдеши и Е. Н. Клером в ЧССР в 1974. См. также Радиоиндикаторные методы анализа.

Литература
Ружичка Я., Стары И., "Успехи химии", 1969, т. 38, в. 3, с. 501-38; Тельдеши Ю., Браун Т., Кирш М., Анализ методом изотопного разбавления, пер. с англ., М., 1975; Новые методы радиоаналитической химии, под ред. М. Кирша и Г. Н. Билимович, М., 1982, с. 124-164; Тельдеши Ю., Яковлев Ю. В., Билимович Г. Н., Диагностика окружающей среды радиоаналитическими методами, М., 1985, с. 60-104. Г. Н. Билимович.