Дисперсионное взаимодействие

ДИСПЕРСИОННОЕ ВЗАИМОДЕЙСТВИЕ, составляющая межмолекулярного взаимодействия, определяемая квантовомех. флуктуациями электронной плотности частиц (молекул, атомов). Мгновенное распределение электрич. заряда молекулы, к-рому отвечает мгновенный дипольный момент молекулы (или более высокого порядка мультипольный момент), индуцирует электрич. мультипольные моменты в др. молекуле. Энергия взаимод. этих мгновенных мультипольных моментов и есть энергия дисперсионного взаимодействия Едисп. Дисперсионное взаимодействие между молекулами (атомами), находящимися в основных квантовых состояниях, всегда приводит к их притяжению. Энергию Едисп обычно представляют в виде разложения в ряд по обратным степеням расстояния R между молекулами:
061_080-62.jpg
где Сn - коэф. разложения, n - целое число (n / 6). При больших R осн. вклад в значение Едисп дает диполь-дипольный член разложения —C6/R6. Значение С6 определяется через динамические поляризуемости aА и aB взаимодействующих молекул А и В. Точное выражение для С6 представляет собой интеграл от произведения поляризуемостей, зависящих от мнимого аргумента iw:
061_080-63.jpg
где h - постоянная Планка. Поскольку дисперсия света в в-ве также определяется в конечном счете поляризуемостью молекул в-ва, рассматриваемый вид межмолекулярного взаимод. получил назв. дисперсионного. Для качеств. оценок Едисп м. б. использованы приближенные ф-лы. Наиб. распространенные из них - ф-ла Лондона:
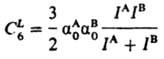
061_080-64.jpg
и ф-ла Слейтера-Кирквуда (Слэтера-Кирквуда):
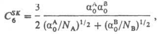
061_080-65.jpg
где a0A, a0B - статич. поляризуемости, IА, IB - первые потенциалы ионизации, NA, NB - число валентных электронов во взаимодействующих молекулах соответственно.
Ф-ла Лондона дает, как правило, для С6 оценки снизу, ф-ла Слейтера - Кирквуда - сверху.
Дисперсионное взаимодействие имеет место между всеми молекулами, независимо от наличия у них мультиполъных моментов. Для неполярных молекул, а также для молекул с небольшими дипольными моментами (СО, HI, НВr и др.) силы притяжения определяются в основном дисперсионным взаимодействием. Именно oно ответственно за притяжение между атомами инертных газов на больших расстояниях. Дисперсионное взаимодействие обусловлено корреляцией между флуктуациями дипольных моментов взаимодействующих систем; при этом среднее значение флуктуирующего дипольного момента м. б. равно нулю. Зависимость Едисп от R-6 справедлива при условии, что электрич. заряды взаимодействуют мгновенно. При расстояниях между молекулами а 100 нм необходимо учитывать запаздывание, связанное с тем, что скорость света с имеет конечное значение. Электромагнитное поле мгновенного дипольного момента 061_080-66.jpg молекулы А "достигает" молекулу В за время R/c и индуцирует в ней дипольный момент 061_080-67.jpg , к-рый взаимодействует с 061_080-68.jpg по прошествии времени 2R/c после его образования. За это время 061_080-69.jpg может измениться. В результате величина запаздывающего взаимод. меньше величины мгновенного, что отражается в более крутом спаде кривой зависимости энергии запаздывающего дисперсионного взаимодействия от расстояния R. Для запаздывающего дисперсионного взаимодействия справедлива асимптотич. ф-ла Казимира-Полдера:
061_080-70.jpg
где a =1/137 - постоянная тонкой структуры (см. Спин-орбитальное взаимодействие). Учет запаздывания важен, напр., в теории коагуляции коллоидных систем. Дисперсионное взаимодействие ответственно за силы взаимод., возникающие при сближении и макроскопич. тел (Е. М. Лифшиц, 1955). В этом случае к появлению дисперсионного взаимодействия приводят флуктуации электромагнитного поля макроскопич. тела. Зависимость энергии дисперсионного взаимодействия от расстояния R между телами будет иной, чем в случае взаимод. изолированных частиц, и определяется формой тел. Так, для двух плоских пластин энергия запаздывающего дисперсионного взаимодействия зависит от R-3, для двух параллельных цилиндров - от R-6, для шариков - от R-7. Эти зависимости получили эксперим. подтверждение.
Литература
Каплан И. Г., Введение в теорию межмолекулярных взаимодействий, М., 1982; Бараш Ю. С, Гинзбург В. Л., "Успехи физич. наук", 1984, т. 143, в. 2, с. 345; Молекулярные взаимодействия, пер. с англ., под ред. А. М. Бродского, М., 1984. И. Г. Каплан.