Гидроксокомплексы

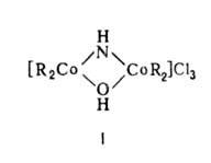
ГИДРОКСОКОМПЛЕКСЫ, координац. соед., содержащие в кач-ве лигандов одну или неск. монодентатных групп ОН. Эти группы связаны с центральным атомом металла через атом кислорода. Соединения, в к-рых группы ОН связаны одновременно с двумя атомами металла, наз. о левыми, напр. соед. ф-лы I,
1110-27.jpg

где R = NH2 (CH2)2NH2. Процесс образования таких соединений наз. оляцией, а сами мостиковые ОН-группы-ол-группами. Различают гидроксокомплексы катионного типа (напр., [А1(Н2О)4(ОН)2]С1), анионного типа (напр., К2[Сu(ОН)Л) и комплексы-неэлектролиты (напр., [Sn(H2O)2Q3(OH)J). Гидроксокомплексы первых двух типов наз. гидроксосолями или основными солями. Гидроксокомплексы могут быть амфотерными. Для них характерны след. р-ции: оксоляция, напр. [W(OH)FS]1110-28.jpg [WOF5]- + Н+ ; протонирование, напр. [Сr(Н2О)5(ОН)]2+ + Н3О+1110-29.jpg [Сr(Н2О)6]3+ + Н2О; замещение ОН-групп др. лигандами или молекулами растворителя; полимеризация с образованием многоядерных оловых или оксосоединений.

Гидроксокомплексы чаще всего получают депротонированием акваком-плексов, напр.:
1110-30.jpg

Др. путь синтеза - введение ОН-групп в комплексное соед. в результате р-ций гидролиза, замещения и др. Гидроксокомплексы используют для синтеза разл. координац. соед., в аналит. химии.

Литература

Кукушкин Ю.Н., "Координационная химия", 1982, т. 8, в. 3, с. 275-81. Ю.Я. Харитонов.