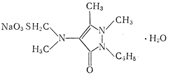
Анальгин;1-фенил-2,3-диметил-4-[метил(сульфометил)амино]-5-пиразолон, натриевая соль; альгопирин; анальгетин; цибальгин; минальгин; ковальдин; новальгин; новапирин; пиральгин; сальпирин

Применяется в качестве лекарственного средства.
Получается из бензилиденаминоантипирина, который метилируют, а образовавшийся 4-метиламиноантипирин обрабатывают формалином и бисульфитом натрия.
Физические и химические свойства. Белый или желтоватый кристаллический порошок. Хорошо растворяется в воде (1 : 1,5), с трудом — в спирте. При нагревании в присутствии НСl выделяется SO2, а затем формальдегид.
Токсическое действие. В основном нарушает функции центральной нервной системы.
Животные. При вдыхании пыли для белых мышей ЛК50 = 37,2 г/м3, а при введении в желудок ЛД50 = 3,3 г/кг.
Человек. Работницы, изготовляющие таблетки анальгина, жаловались на слабость, расстройство сна, головную боль и колющие боли в области сердца. Объективно — функциональное расстройство нервной системы. При наличии в воздухе пыли анальгина в концентрации 30—110 мг/м3 к концу смены у работниц снижалась температура тела. У фасовщиц таблеток анальгина папулезная сыпь с мучительным зудом возникала спустя 2—3 дня с момента контакта с анальгином и исчезала без лечения после прекращения контакта [1, с. 95].
Предельно допустимая концентрация. Рекомендуется 3 мг/м3 (Вишневская).
Индивидуальная защита. Меры предупреждения. Самая тщательная защита кожи и органов дыхания. Предварительный медицинский отбор. Отстранение от работы повторно заболевших. Возможна попытка неспецифической десенсибилизации (Schulz, Schopf). См. также Амидопирин.
Токсикодермию с отеком лица, конъюнктивит, боль при глотании вызывал у рабочих бутадион (1,2-дифенил-4-бутилпиразол-3,5-дион, фенилбутазон, бутазолидин) (Добин).
Μ = 351,36