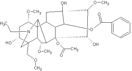
Аконитин

Синонимы:
ацетилбензоилаконин Внешний вид:
ромбические кристаллы (растворитель перекристаллизации - хлороформ)Брутто-формула (система Хилла): C34H47NO11
Молекулярная масса (в а.е.м.): 645,74
Температура плавления (в °C): 202
Растворимость (в г/100 г или характеристика):
ацетон: растворимбензол: 14,3 (25°C)
вода: 0,31 (25°C)
диэтиловый эфир: 2,27 (25°C)
хлороформ: растворим 25 (20°C)
этанол: 4,54 (25°C)
Природные и антропогенные источники:
Содержится в различных видах аконита (на рисунке, например, в Аконите джунгарском (Aconitum soongaricum stapf.), синем борце (Aconitum napellus L.) и др., семейство Лютиковые). Аконитин в основном содержится в клубнекорнях и семенах, но также есть и в других частях растения.Показатель диссоциации:
pKBH+ (1) = 8,11 (25 C, вода)Удельное вращение для D-линии натрия:
19 (хлороформ; 20°C)Летальная доза (ЛД50, в мг/кг):
0,035 (собаки, внутривенно)0,04 (человек, перорально)
Симптомы острого отравления:
Отравления чаще всего наступают после употребления частей растения аконит в пищу (особенно токсичны клубни и семена). Вскоре после употребления аконита появляются ощущения покалывания и жжения в полости рта и глотке, обильное слюнотечение, тошнота, рвота, понос, распространенные парестезии. Могут быть головокружение, сильная головная боль, слабость, состояние оглушенности. В тяжелых случаях отмечается выраженная мышечная слабость, одышка, неправильный, вначале замедленный, а затем учащенный пульс, затемнение сознания, отек легких, тремор, судороги. Смерть наступает от паралича дыхательного центра.
Лечение отравлений:
Промыть желудок, лучше раствором перманганата калия (1:1000), можно 0,2% раствором танина со взвесью активированного угля. Дальнейшее лечение симптоматическое. Для устранения выраженной брадикардии вводят атропин. В случае пароксизмальной тахикардии применяют глюконат кальция, сульфат магния, новокаинамид, коргликон. При необходимости назначают кислород. Показано внутривенное введение новокаина (20-50 мл 2% раствора) и глюкозы (500 мл 5% раствора капельно). При судорогах и расстройствах дыхания применяют барбамил (10 мл 10% раствора внутривенно) или дитилин (2 мл 2% раствора внутривенно), аппаратное искусственное дыхание.
- "Неотложная помощь при острых отравлениях: Справочник по токсикологии" под ред. Голикова С.Н. М.:Медицина, 1977 стр. 221, 230
- "Справочник химика" т.2, Л.-М.: Химия, 1964 стр. 404-405
- "Химическая энциклопедия" т.2 М.: Советская энциклопедия, 1990 стр. 90-91
- Крамаренко В.Ф. "Токсикологическая химия" Киев: Выща школа, 1989 стр. 276