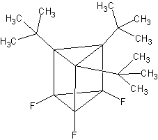
1,2,3-три-трет-бутил-4,5,6-трифторпризман

Брутто-формула (система Хилла): C18H27F3
Молекулярная масса (в а.е.м.): 300,402
Температура плавления (в °C): 187
Способы получения:
1. Самопроизвольная полимеризация трет-бутилфторацетилена.- Несмеянов А.Н., Несмеянов Н.А. "Начала органической химии" т.1 М.:Химия, 1969 стр. 576
Источники информации:
Синонимы/примеры:*
1,2,3-три-трет-бутил-4,5,6-трифторбензол
*подобраны ИИ, возможны неточности
Ещё по теме
Трифторацетилацетон — свойства и применение
2-Теноилтрифторацетон — характеристики и применение