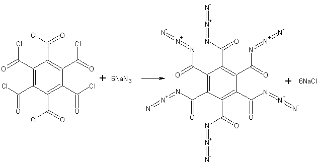
Меллитовой кислоты гексаазид

Внешний вид:
кристаллыБрутто-формула (система Хилла): C12N18O6
Молекулярная масса (в а.е.м.): 492
Метод получения 1.
(лабораторный синтез)Источник информации: Сарымсаков Ш.С., Королева Р.П. "Химия меллитовой кислоты и ее производных" Фрунзе 1984 стр. 75

В трехгорлую круглодонную колбу, снабженную мешалкой, термометром, капельной воронкой и погруженную в баню со льдом, помещают 10%-ный раствор азида натрия. К нему медленно прибавляют суспензию гексахлорангидрида меллитовой кислоты в ацетоне. Температуру реакционной массы поддерживают около 8 С при перемешивании в течение 1 ч. К концу реакции смесь расслаивается. Нижний слой - суспензия гексаазида меллитовой кислоты. Из-за сильной взрывчатости в сухом виде свойства определить трудно.
- Сарымсаков Ш.С., Королева Р.П. "Химия меллитовой кислоты и ее производных" Фрунзе 1984 стр. 75
Источники информации:
Ещё по теме
Меллитовая кислота — свойства и получение
Метилбензолсульфонат — характеристики и применение