1,4-аминонафтола гидрохлорид
Метод получения 1.
(лабораторный синтез)Источник информации: "Синтезы органических препаратов" сб.1 М.1949 стр. 32-35

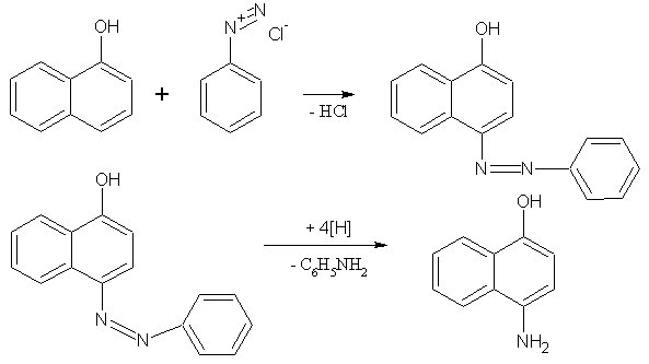
В широкогорлую 6-литровую банку, снабженную механической мешалкой и делительной воронкой, загружают 200 г (1,39 мол.) альфа-нафтола с т. пл. 91°С или несколько выше (примечание 1) и 910 мл 10%-ного раствора едкого натра (2,5 мол.). Смесь перемешивают 10 мин.; за это время образуется однородный раствор.
Одновременно приготовляют раствор хлористого бензолдиазония. В 3-литровую широкогорлую банку загружают 128 г (125 мл, 1,38 мол.) анилина и 1,5 кг измельченного льда (примечание 2); к смеси, размешиваемой от руки, приливают постепенно 410 мл концентрированной соляной кислоты (31,5%-ной; уд. веса 1,16). К концу приливания выделяется некоторое количество хлоргидрата анилина. После этого из полулитровой делительной воронки медленно приливают раствор 100 г (1,45 мол.) нитрита натрия в 200 мл воды. Конец трубки делительной воронки должен находиться несколько ниже уровня раствора в банке. Смесь размешивают (можно и вручную), и время от времени каплю смеси испытывают на иодкрахмальной бумажке; удобнее каплю раствора разбавить (на часовом стекле) 1 мл воды, а каплю полученного разбавленного раствора испытывать на иодкрахмальной бумажке. Раствор нитрита добавляют до тех пор, пока темное пятно на иодкрахмальной бумажке (проба на свободную азотистую кислоту) не будет держаться в течение 5 мин. После этого диазотирование считают законченным. Обыкновенно не использованным остается только 2—5% нитрита.
К щелочному раствору альфа-нафтола прибавляют 1 кг измельченного льда, пускают в ход мешалку и приливают из делительной воронки диазораствор; конец трубки делительной воронки должен находиться под поверхностью жидкости. Во время приливания необходимо равномерное и энергичное перемешивание (примечание 3); длительность прибавления диазораствора — около 10 мин. Температура смеси должна быть не выше 10°С; в случае необходимости прибавляют еще некоторое количество льда. После прибавления диазораствора перемешивание продолжают еще полчаса, после чего -смесь оставляют стоять 3 часа при 7—10°С (примечание 4). Осадок отсасывают на воронке Бюхнера, промывают 1 л воды и возможно лучше отжимают.
Лепешку сырого бензолазо-альфа-нафтола переносят в 5-литровую широкогорлую банку (или 8-литровый кувшин), снабженную механической мешалкой; в банку помещают 3 л 10%-ного раствора едкого натра. Смесь размешивают 10 мин.; этого времени достаточно, чтобы краситель перешел в раствор. Полученный раствор фильтруют. Нерастворимый остаток размешиваютс 500 мл 10%-ного едкого натра, жидкость фильтруют и осадок промывают водой. Этот осадок весом в 10—90 г представляет собой главным образом 2,4-дисазо-производное (т. пл. 197—198°С) и содержит незначительное количество бензолазо-альфа-нафтола.
К тёмнокрасному раствору красителя прибавляют 550 г гидросульфита натрия, содержащего не менее 80% чистой соли, и смесь размешивают в течение получаса 5 раз по 30 сек. (примечание 5).
Красная окраска раствора постепенно исчезает, на поверхности появляется тонкий слой анилина, и температура повышается до 25—50°С. К концу получаса красная окраска раствора должна исчезнуть. Раствор быстро охлаждают до 20°С, погружая реакционный сосуд в баню со льдом и добавляя в него около 500 г льда.
К этому раствору при работающей мешалке приливают 625 мл (6,3 мол.) концентрированной (31,5%-ной; уд. веса 1,16) соляной кислоты (примечание 6) или эквивалентное количество кислоты с концентрацией, близкой к указанной. При этом выпадает осадок аминонафтола, окрашенный в кремовый цвет. Его быстро фильтруют через воронку Бюхнера (примечание 7) и промывают один раз водой (200 мл), примерно наполовину насыщенной сернистым ангидридом. Осадок под действием воздуха скоро темнеет; поэтому его быстро переносят в 8-литровый глиняный сосуд, в который предварительно наливают 2 л воды и 340 мл концентрированной соляной кислоты. Мягкие комки осадка разбивают с помощью стеклянной палочки, на конец которой надета корковая пробка. Через смесь пропускают острый пар в течение 45 мин., причем последние 30 мин. смесь перемешивают с помощью механической мешалки. К концу этого времени весь амин переходит в раствор. Нерастворимую примесь весом, в 25—30 г отсасывают. Фильтрат охлаждают до 25°С, и если он получается непрозрачным, его вновь фильтруют. К прозрачному раствору при 25°С добавляют 1200 мл концентрированной соляной кислоты при работающей мешалке, причем немедленно образуется светлосерый осадок аминонафтола. Раствор оставляют стоять 2—3 часа, после чего его фильтруют с отсасыванием. Солянокислый аминонафтол возможно лучше отжимают от маточника, тщательно промывают разбавленной соляной кислотой (1 объем кислоты на 1 объем воды) и сушат на пористой тарелке. Маточный раствор упаривают в вакууме до небольшого объема, причем получают еще небольшое количество хлоргидрата. Продукт окрашен в светлопурпуровый цвет (примечание 8) и весит 175—200 г (65—74% теоретического выхода, считая на количество взятого альфа-нафтола; примечание 9).
Примечания
1. Технический альфа-нафтол различен по чистоте; однако можно считать, что продукт с т. пл. 91°С (или несколько более высокой) практически не содержит бета-нафтола. При употреблении материала с пониженной точкой плавления получаются неудовлетворительные результаты. Однако, при содержании бета-нафтола не более 2%, указанный выше выход (70%) получается без особых трудов.
2. При диазотировании анилина температуру следует поддерживать при 0—5°С, для чего указанное выше количество льда оказывается достаточным; если этого количества не хватит, добавляют еще некоторое количество льда.
3. Размешивание должно быть равномерным и энергичным в течение всего времени прибавления диазораствора к раствору альфа-нафтола; в противном случае осадок собирается в виде смолистых шариков. При соблюдении указанных условий осадок образуется в виде мелкого красного порошка; он не смолист и легко фильтруется. Для эффективного перемешивания нужен несколько более мощный мотор, чем применяемые обычно.
4. Температура, при которой происходит сочетание и последующая выдержка раствора, имеет большое значение для количества образующегося дисазосоединения. При отсутствии внешнего охлаждения количество образующегося азосоединения составляет лишь около 120 г.
5. Восстановление гидросульфитом может быть осуществлено в атмосфере светильного газа или сероводорода. Первый осадок свободного аминофенола имеет несколько более светлый оттенок, если он получен в инертной атмосфере; однако конечный продукт — аминонафтолгидрохлорид — обычно окрашен в светлопурпуровый цвет.
6. Если при осаждении свободного аминонафтола добавлено слишком много соляной кислоты, часть его, разумеется, перейдет в раствор. Придерживаясь указанных выше количеств, получают удовлетворительные результаты.
7. Конец осаждения может быть проверен следующим образом. Небольшое количество фильтрата наливают в две пробирки. В одну из них добавляют немного кислоты, а в другую — раствор соды. В обоих случаях не должно образовываться осадка.
8. Для получения более чистого продукта аминофеиолгидрохлорид можно растворить в горячей воде, раствор охладить и добавить концентрированной соляной кислоты. Гидрохлорид выделяется в виде красивых кристаллов бледнофиолетового оттенка; его весьма трудно получить вполне бесцветным.
9. При применении а-нафтола высокой степени чистоты можно добиться выхода в 85—90 %. В этом случае рекомендуется не отфильтровывать нерастворимый в щелочи осадок от бензол-азо-альфа-нафтола, так как этот осадок очень невелик и его трудно отфильтровать. В случае применения альфа-нафтола высокой степени чистоты необходимое количество воды и соляной кислоты для очистки сырого продукта следует увеличить в 1,3 раза (Уитней, частное сообщение).