Определение строения моносахаридов периодатны м методом
Для определения характера цикла, лежащего в основе структуры моносахарида, широко пользуются методом окисления иодной кислотой. Установлено (Малапраде, 1928), что при окислении многоатомных спиртов иодной кислотой разрываются связи между каждой парой соседних углеродных атомов, при которых находились гидроксильные группы. Каждая концевая группа СН2ОН, отщепляясь, образует молекулу формальдегида, а каждая отщепляющаяся группа СНОН — молекулу муравьиной: кислоты:

Так как окисление идет в данном случае количественно по уравнению

то по расходу HJО4 можно определить число гидроксилов в молекуле спирта Как показали Джексон и Гедсон (1937), аналогично протекает окисление гликозидов. Поэтому периодатный метод окисления был применен для выяснения строения многих моносахаридов (после превращения их в гликозиды), а также полисахаридов.
Окисление гликозида с шестичленным кольцом (пиранозида) идет по схеме

Как видно из этой схемы, группировки у второго к четвертого углеродных атомов превращаются в альдегидные группы, но не отщепляются, так как у каждой из них один из соседних углеродных атомов не имеет гидроксила. Группировка третьего углеродного атома дает одну молекулу муравьиной кислоты.
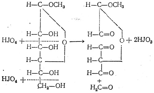
Окисление гликозида с пятичленным кольцом (фуракозида) идет по схеме

т. е. в этом случае расходуются также две молекулы иодной кислоты, но не образуется муравьиной кислоты, а получается одна молекула формальдегида.