Химические свойства
Гликоли могут вступать во все химические реакции, в которые вступают одноатомные спирты, причем в реакции может участвовать одна или обе спиртовые группы. Но в реакциях гликолей имеются и некоторые особенности, обусловленные одновременным присутствием в молекуле двух гидроксилов. Так, например, в гликолях можно последовательно заместить один или оба атома водорода в гидроксильных группах на атомы металлов (аналогично алкоголятам эти соединения называются гликолятами) и получить соединения: 
Расположение двух гидроксилов у соседних углеродных атомов облегчает замещение атомов водорода гидроксильных групп на атомы металлов; поэтому такие гликоляты образуются легче, чем алкоголяты одноатомных спиртов.
Действием галоидных алкилов на гликоляты можно получить два ряда простых эфиров:

При действии галоидоводородных кислот на гликоли обычно легко замещается на галоид один гидроксил, например:

Получаемые соединения называются галоидгидранами гликолей (галоидзамещенные спирты). Хлоргидрины часто называют алкиленхлоргидринами, так как они могут быть получены из олефинов и хлорноватистой кислоты.
Действием пятигалоидного фосфора можно заместить на галоиды оба гидроксила:

Реакции окисления гликолей протекают по-разному в зависимости от того, какие (первичные, вторичные или третичные) спиртовые группы содержатся в них. Присутствие двух гидроксилов дает возможность получить гораздо большее число продуктов окисления с тем же числом атомов углерода, чем из одноатомных спиртов. Так, например, этиленгликоль СН2ОН—СН2ОН может дать следующие продукты окисления:

При окислении иодной кислотой гликолей с гидроксильными группами у соседних атомов углерода происходит разрыв связи между этими углеродными атомами. Например:
К аналогичному результату приводит окисление таких гликолей с помощью тетрацетата свинца. По-видимому, реакция протекает через стадию промежуточного образования диацетата циклического гликолята свинца:

Отнятие от гликоля одной молекулы воды может привести к образованию ненасыщенного спирта, а отнятие двух молекул — к получению углеводорода с двумя двойными связями. Например:

В некоторых случаях дегидратация гликолей может протекать и более своеобразно. Так, гликоли с гидроксильными группами у соседних атомов углерода при нагревании, особенно с водоотнимающими средствами, например с хлористым цинком, выделяют молекулу воды с образованием альдегидов или кетонов. Возможно, что промежуточным продуктом здесь является ненасыщенный спирт:

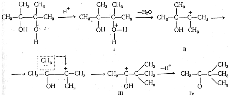
Двутретичные гликоли — пинаконы при действии минеральных кислот, их хлорангидридов, хлористого цинка и других электрофильных реагентов также могут отщеплять молекулу воды и превращаться в кетоны, называемые пинаколинами. Это явление сопровождается перемещением одного из углеводородных радикалов от одного третичного атома углерода к другому, например:

Реакция эта относится к числу внутримолекулярных перегруппировок и называется пинаколиновой перегруппировкой. Пинаколиновая перегруппировка, по всей вероятности, протекает следующим образом. При действии электрофильного реагента, например иона водорода, образуется оксониевое соединение I и от него отщепляется молекула воды. Образовавшийся катион II перегруппировывается таким образом, что к атому углерода, несущему положительный заряд, переходит метильная группа в виде аниона (со своей электронной парой). В результате образуется катион III с положительным зарядом на вторичном углеродном атоме. От этого катиона отщепляется протон и образуется пинаколин (IV):

Весь процесс перегруппировки протекает непрерывно, внутри молекулы, без возникновения промежуточных кинетически независимых частиц.
Между двумя, тремя и более молекулами гликоля может происходить реакция, аналогичная образованию простых эфиров, причем получаются полигликоли, например так называемые полиэтиленгликоли:

и т. д.
Полигликоли получаются также действием α-окисей, например окиси этилена, на гликоли

или непосредственно взаимодействием окиси этилена с соответствующим количеством воды.
При нагревании с малыми количествами серной кислоты может происходить выделение молекул воды из двух молекул гликоля, содержащих гидроксилы при соседних атомах углерода, причем образуются циклические соединения эфирного характера, содержащие кольцо из шести атомов (А. Е. Фаворский):

Наконец, возможно образование вещества с эфирной (окисной) связью и внутри одной молекулы гликоля. Такое образование «внутренних» простых эфиров, называемых также циклическими окисями или окисями двухвалентных радикалов, может легко происходить в тех случаях, когда возникает кольцо из пяти или шести атомов, например:

Отщепление воды от гликолей, содержащих гидроксильные группы у соседних атомов углерода, обычно приводит не к окисям, а лишь к продуктам их превращения. Сами окиси обыкновенно получаются при действии щелочи на галоидгидрины гликолей (см. ниже).