Циклические углеводороды с боковыми цепями
(Примечание: см. правила А—12 и А—13) А—61
61.1. — Углеводороды более сложные, чем рассмотренные в правиле А—12, Содержащие циклические ядра и алифатические цепи, называют по одному из описанных ниже способов. Название выбирают так, чтобы оно было самым простым из допустимых или наиболее подходящим с химической точки зрения.
61.2. — Если углеводород не имеет общепринятого тривиального названия, то (1) название радикала, представляющего боковую цепь, ставят как префикс перед названием циклического углеводорода, или (2) название циклического углеводорода вводят как префикс к названию алифатического соединения. Выбор между этими двумя способами определяется (а) максимальным числом замещений в отдельной структурной единице; (b) сравнительной величиной структурных единиц (меньшая — заместитель в большей).
61.3. — В соответствии с принципом (а) правила А—61.2, углеводороды, содержащие несколько цепей, соединенных с единственным циклическим ядром, обычно называют как производные циклического соединения; углеводороды же, содержащие цепь, с которой соединены несколько циклических радикалов, или циклические радикалы и боковые цепи, называют как производные ациклического соединения.
Примеры:




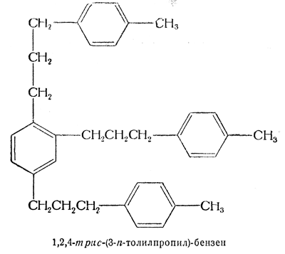
61.4. — В соответствии с принципом (b) правила А—61.2, углеводород, содержащий небольшое циклическое ядро, соединенное с длинной цепью, обычно называют как производное ациклического углеводорода; углеводород же, в котором небольшая группа присоединена к циклическому ядру, называют как производное циклического углеводорода.
Примеры:




61.5. — Используются, если это ведет к упрощению названия, принятые тривиальные названия радикалов. Примеры:

