1,4-Бензодиазепин

1,4-БЕНЗОДИАЗЕПИН. В своб. виде не выделен. Из производных наиб. изучены 1,2-дигидро-1,4-бензодиазепин-2(3Н)-оны с ароматич. заместителем в положении 5 (ф-ла I), к-рые не раств. в воде, хорошо раств. в апротонных р-рителях. Обладают слабыми основными св-вами. Нитруются в положение 7, а если оно занято - в мета-положение фенильного заместителя. Дальнейшее нитрование идет в положение 9. Галогенирование под действием С12 (в присут. FeCl3), NaOCl или N-бромсукцинимида идет соотв. в положения 7, 1 или 3. При действии NH2C1 происходит аминирование в положение 1. Алкилирование и алкоксилирование идут в положения 1 и 4, реже - в 3. Гидролиз часто сопровождается перегруппировками, напр.:
1051-3.jpg
1051-4.jpg

Надкислоты и Н2О2 окисляют атом N в положении 4. Атом кислорода карбонильной группы легко замещается на серу, что используется для синтеза производных с аннелированными гетероциклами, напр.:
1051-5.jpg

1,2-Дигидро-1,4-бензодиазепин-2(3Н)-оны м. б. получены окислением аминометилиндолов:
1051-6.jpg

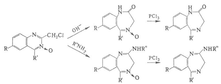
Эти соединения, а также 2-алкиламино-3Н-1,4-бензодиазепины получают из N-оксидов 2-хлорметилхиназолинов:
1051-7.jpg

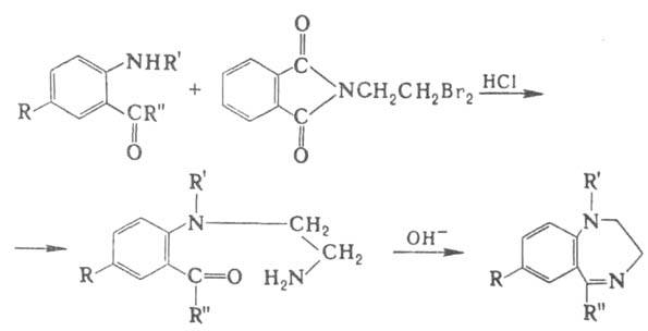
Синтез 1,2-дигидро-3Н-1,4-бензодиазепинов основан на превращ. ароматич. аминокетонов:
1051-8.jpg

Производные 1,4-бензодиазепина, напр. диазепам, оксазепам, хлордиазепоксид,- транквилизаторы.

Литература

Богатский А.В., Андронати С.А., Головенко Н.Я., Транквилизаторы. 1,4-Бенздиазепины и родственные структуры, К., 1980. В. Р. Скварченко.

Синонимы/примеры:* 1,4-Бензодиазепин; 2,3-Дигидро-1H-1,4-бензодиазепин
*подобраны ИИ, возможны неточности