Барта реакция

БАРТА РЕАКЦИЯ, синтез ариларсоновых к-т или их солей взаимод. ароматич. солей диазония с арсенитами щелочных металлов, напр.:

1047-40.jpg

Процесс обычно проводят в водном р-ре Na2CO3 (кат. - Сu, Ni, Co, соли этих металлов, Ag) при охлаждении. Избыток соли диазония приводит к образованию ди- или триариларсоновых к-т. Наличие электроноакцепторных заместителей в орто- и (или) пара-положениях в ароматич. ядре повышает выход ариларсоновых к-т, а в метаположении-снижает, а иногда и исключает их образование.

Барта реакция сопровождается рядом побочных процессов. Соли мышьяковистой к-ты могут восстанавливать соли диазония с образованием азо- и гидразосоединений, аминов и углеводородов. Иногда образуются диариларсиновые к-ты, триариларсиноксиды и фенолы. Кол-во побочных продуктов уменьшается при использовании в р-ции борфторидов арилдиазония ArN2BF4, к-рые устойчивее соответствующих галогенидов.

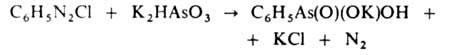
В нек-рых случаях Барта реакцию осуществляют в нейтральном водном р-ре без катализатора с использованием дикалиевой соли мышьяковистой к-ты, напр.:
1047-41.jpg

В этих условиях также снижается кол-во побочных продуктов, особенно углеводородов (в приведенном примере бензола), образованию к-рых способствует увеличение рН реакц. среды. Выходы ариларсоновых к-т в Барта реакции составляют обычно 40-60%.

Р-цию, подобную Барта реакции, осуществляют диазотированием ароматич. аминов в среде метанола или карбоновой к-ты и AsCl3 в присут. CuCl:
1047-42.jpg

Барта реакция - осн. метод синтеза ароматич. соед. As. Она открыта Г. Бартом в 1910.

Литература

Гамильтон К., Морган Дж., в сб.: Органические реакции, пер. с англ, сб. 2, М., 1950, с. 449-89; Samaan S., в кн.: Houben-Weyl, Methoden der organischen Chemie, Bd 13, Tl 8, Stuttg., 1978, S. 293-313, 330-33, 516-23. H. Э. Нифантьев.