Антиаллергические средства

АНТИАЛЛЕРГИЧЕСКИЕ СРЕДСТВА, подавляют клинич. проявления аллергии. По механизму действия различают четыре осн. группы антиаллергических средств: 1) угнетающие выработку аллергич. антител; 2) подавляющие высвобождение медиаторов из клеток-мишеней аллергии (тучных клеток и базо-филов); 3) обладающие антагонистич. действием по отношению к медиаторам аллергии; 4) снижающие возбудимость эффекторных тканей-точек приложения действия медиаторов аллергии. Большинство антиаллергических средств могут быть отнесены одновременно к неск. группам.

К первой группе принадлежат модифициров. формы аллергенов (толерогены), представляющие собой конъюгаты низкомол. компонентов аллергенов с неиммуногенными носителями (изологичным1032-32.jpgглобулином, поливиниловым спиртом, полиэтиленгликолем). Толерогены тормозят образование аллергич. антител иммуноглобулина Е.

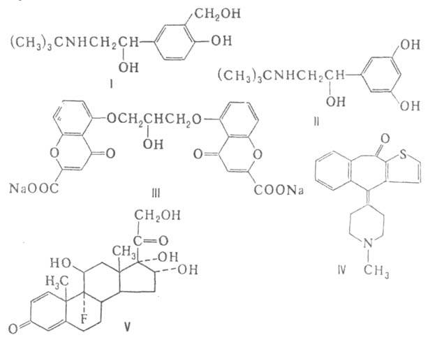
К антиаллергическим средствам второй группы принадлежат препараты, повышающие содержание в клетках циклич. аденозин-3',5'-моно-фосфата, - активаторы аденилатциклазы и ингибиторы фосфодиэстеразы. К этой группе относятся в-ва, влияющие на циклооксигеназный и липоксигеназный пути обмена арахидоновой к-ты, препараты, тормозящие поступление в клетки-мишени ионов Са2+ , необходимых для секреции из этих клеток медиаторов. Среди активаторов аденилатциклазы клинич. применение имеют лишь стимуляторы1032-33.jpgадренергич. рецепторов. Из них салбутамол (ф-ла I) и тербуталин (II) обладают наиб. избират. действием и используются при бронхиальной астме.

1032-34.jpg

Из ингибиторов фосфодиэстеразы при бронхиальной астме применяют гл. обр. теофиллин, действие к-рого связано не только с его антифосфодиэстеразной активностью, но и с блокадой адениновых рецепторов, усилением синтеза и секреции катехоламинов из надпочечников, угнетением транспорта ионов Са2+ в клетки, что приводит к расслаблению гладкой мускулатуры бронхов и торможению секреции медиаторов аллергии. К этой группе антиаллергических средств относятся также кромолин-натрий, или интал (III), и кетотифен (IV). Первый используется для лечения бронхиальной астмы, конъюнктивитов, ринитов, аллергич. поражений желудочно-кишечного тракта. Препарат при длительном его применении оказывает стабилизующее действие на тучные клетки. Кромолин-натрий не влияет на секрецию медиаторов из базофилов; в организме не метаболизируется. Кетотифен не только тормозит секрецию медиаторов из клеток-мишеней, но и обладает антигистаминным действием, слабой антифосфодиэстеразной активностью, задерживает поступление ионов Са2+ в тучные клетки. Используется при лечении крапивницы, отеков Квинке, ринитов, конъюнктивитов, бронхиальной астмы.

Среди антагонистов медиаторов аллергии, составляющих третью группу антиаллергических средств, широко используют лишь блокаторы H1-рецепторов (см. Антигистаминные средства), гл. обр. для подавления аллергич. проявлений на коже и слизистых оболочках.

К антиаллергическим средствам четвертой группы относят специфич. антагонисты медиаторов, препараты, подавляющие общую возбудимость этих тканей, напр. стимуляторы1032-35.jpgрецепторов и антагонисты фосфодиэстеразы, расслабляющие гладкую мускулатуру, а также глюкокортикостероиды. Действие последних обусловлено их противовоспалит. св-вами, торможением высвобождения медиаторов аллергии и синтеза простагландинов, усилением1032-36.jpgадренергич. эффектов посредством повышения плотности1032-37.jpgрецепторов. наиб. широко применяют преднизолон (см. Кортикоиды)и его производные, в частности триамцинолон (V) и дексаметазон.

Литература

Частная аллергология, под ред. А.Д. Адо, М., 1976; Гущин И. С, Немедленная аллергия клетки, М., 1976; Katz D. H., "Immunology", 1980, v. 41, № 1, p. 1-24. И. С. Гущин.