Митомицины
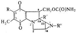
МИТОМИЦИНЫ, антибиотики, выделенные из кулъту-ральной жидкости Streptomyces caespitosus. Производные митозана (8-карбамоилоксиметил-5-метил-1,1а,2,8,8а,8b-гексагидроазирино[2',3': 3,4]пирроло[1,2-а]индол-4,7-дион, в ф-ле R = R' = R: = Н). Наиб. изучен митомицин С (R = NH2, R' = ОСН3, R: = Н)-сине-фиолетовые кристаллы, т. ризл. 360 °С. lмакс (СН3ОН) 216, 360 и 560 нм; плохо раств. в воде, умеренно-в полярных орг. р-рителях. В порошке сохраняет активность в течение двух лет, в р-ре при рН 6-9-в течение недели при пониж. т-ре, в р-рах при рН ниже 5,5 и выше 11,5 на свету или при действии окислителей быстро разрушается.

Митомицин С применяют как противоопухолевый препарат. Для мышей ЛД50 5 мг/кг при внутривенном введении, 9 мг/кг при внутрибрюшинном.
Известны также митомицин A (R = R' = OCH3, R: = Н), митомицин В (R = ОСН3, R' = ОН, R: = СН3) и порфи-ромицин (R = NH2, R' = OCH3, R: = CH3); последний выделен из культуральной жидкости Streptomyces verti-cillatus.
В организме митомицины под действием ферментов восстанавливаются, превращаясь в бифункцион. алкилирующие соединения. В этой форме митомицины образуют сшивки в цепях ДНК, препятствующие расхождению нитей ДНК при репликации. Это приводит к деградации ДНК, мутациям и фрагментации хромосом бактерий и клеток млекопитающих.
С. Е. Есипов.