Этмозин

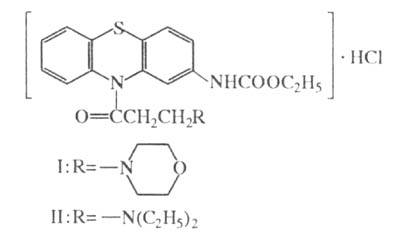
ЭТМОЗИН [гидрохлорид этилового эфира 10-(3-морфолинопропионил)фенотиазин-2-карбаминовой к-ты, морацизин, ф-ла I], мол. м. 463,95: бесцв. темнеющие на свету кристаллы; т. пл. 188,5-200 °С; раств. в воде (1:15), плохо раств. в 95%-ном этаноле (1:40). Значение рН 2,5%-ного водного р-ра 3,5—4,1. Получают этмозин из м-динитробензола последоват. действием ацетангидрида, бромбензола, гидрачина (кат. - Ni), С1СООС2Н5, серы, С1СН2СН2СОС1, морфолина и НС1.

6045-12.jpg

Этмозин оказывает спазмолитич., коронарорасширяющее и холиноблокирующее действие. Он эффективен при аритмиях, вызванных передозировкой сердечных гликозидов. Применяют при приступах пароксизмальной тахикардии, экстрасистолиях. Аналогичный этмозину по хим. строению препарат - этацизин (II) - обладает более высокой терапевтич. активностью.

Лит.: Яхонтов Л. Н., Глушков Р. Г., Синтетические лекарственные средства, М., 1983, с. 222; RatnerE.I. [e. a.], "Arzneim. Forsch.", 1989, Bd 39(11), № 7, S. 766-68; Fitton A. [e.a.J, "Drugs", 1990, № 40(1), p. 139.

Л. Н. Койков.

Комментарии*

Дополнения к описанию Этмозина:

  • Механизм действия: Является антиаритмическим препаратом класса IC (по классификации Vaughan Williams). Блокирует быстрые натриевые каналы в кардиомиоцитах, что приводит к замедлению проведения электрического импульса, особенно в волокнах Пуркинье и миокарде предсердий и желудочков.
  • Фармакокинетика: Обладает выраженным эффектом "первого прохождения" через печень, что обуславливает его низкую и вариабельную биодоступность при пероральном приеме.
  • Ключевое применение и ограничения: Хотя эффективен при желудочковых аритмиях, его применение было существенно ограничено после публикации результатов исследования CAST (Cardiac Arrhythmia Suppression Trial), которое показало, что прием антиаритмиков класса IC (включая флекаинид и, по аналогии, этмозин) пациентами после инфаркта миокарда ассоциирован с повышенным риском смертности из-за проаритмического эффекта.
  • Статус: В настоящее время используется редко из-за профиля риска, особенно у пациентов с органическими заболеваниями сердца.
*Подобраны с помощью LLM, верифицированы, но возможны неточности.
Синонимы/примеры:* Этацизин; Этацизин-Тева; Этацизин-Акри
*подобраны ИИ, возможны неточности
Ещё по теме
Этмозин — свойства и применение антиаритмического препарата
ЭТМОЗИН — инструкция по применению, показания и противопоказания
Аминазин — свойства и применение нейролептического препарата
Этимизол — инструкция по применению
Этацизин — свойства и применение антиаритмического препарата
Симазин — свойства и применение гербицида
Метеразин — применение и особенности препарата
Мианезин — свойства и применение
Алимемазин — свойства и применение
Тиоридазин — характеристики и применение
Аминазин — применение и особенности препарата
Этимизол — свойства и применение
Метеразин — применение и действие нейролептика
Нонахлазин — свойства и применение
Этацизин — инструкция по применению, показания и противопоказания
Мезидин — характеристики и применение
Тиоридазин — свойства и применение
Атразин — свойства и токсическое действие
Месалазин — свойства и применение препарата