Мак-Лафферти перегруппировка

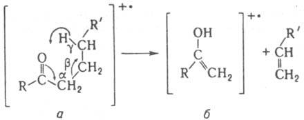
МАК-ЛАФФЕРТИ ПЕРЕГРУППИРОВКА, протекает при масс-спектрометрич. исследованиях орг. соед., содержащих ненасыщ. группу С=Х (X = О, N, С, S). Заключается в миграции атома Н в катион-радикале (мол. ионе) исследуемого соед. от g-атома С к атому X через 6-членное переходное состояние, напр.:
622_640-21.jpg
Мак-Лафферти перегруппировка впервые обнаружена Ф. Мак-Лафферти в 1956 при изучении алифатич. кетонов и карбоновых к-т (X = О). Характерна также для алкенов, альдегидов, сложных эфиров, амидов, тиокетонов, тиоэфиров, оксимов, гидразонов, азометинов, нитрилов и др. Перегруппировка региоселективна. Легкость протекания р-ции определяется расстоянием между группой СХ и атомом Н в g-положении, к-рое не должно превышать 0,18 нм. Протекание перегруппировки в каждом случае доказывается изучением дейтеромеченых соед., наличием в масс-спектре метастабильного пика, отвечающего переходу а в б, а также исследованием распада катион-радикала а методом тандемной масс-спектрометрии. Мак-Лафферти перегруппировка используется для определения строения орг. соединений.
Литература
Вульфсон Н. С., Заикин В. Г., Микая А. И., Масс-спектрометрия органических соединений, М., 1986; Zollinger M., Seibl J., "Org. Mass Spectrom.", 1985, v. 20, № 11; p. 649-61. Д. В. Давыдов.

Комментарии*

Дополнения к описанию Мак-Лафферти перегруппировки:

  • Механизм и продукты: Результатом перегруппировки является гетеролитический разрыв связи β-углерод-γ-углерод, что приводит к образованию нейтрального алкена (или алкена и нейтральной молекулы, если X = NR, S) и заряженного енольного катион-радикала (когда X = O).
  • Ключевое значение: Этот процесс является одним из наиболее важных и хорошо изученных фрагментационных процессов в масс-спектрометрии органических соединений. Наличие характерного пика в масс-спектре служит диагностическим признаком присутствия определенных функциональных групп и помогает установить структуру молекулы.
  • Энергетика: Перегруппировка Мак-Лафферти является энергетически выгодным процессом, так как приводит к образованию стабильных частиц: нейтральной молекулы алкена и енольного катион-радикала, который часто стабилизирован за счет сопряжения.
  • Современное применение: Наряду с определением строения, анализ путей фрагментации, включая перегруппировку Мак-Лафферти, является основой для идентификации неизвестных соединений в таких областях, как протеомика, метаболомика и экологический мониторинг с использованием тандемной масс-спектрометрии высокого разрешения.
*Подобраны с помощью LLM, верифицированы, но возможны неточности.